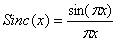
一維sinc函式
函式定義
它們都是正弦函式和單調遞減函式 1/x的乘積:
1.在數位訊號處理和通信理論中,歸一化sinc函式通常定義為;
sinc函式公式2.在數學領域,非歸一化sinc函式 (for sinus cardinalis)定義為:
sinc函式公式在這兩種情況下,函式在 0 點的奇異點有時顯式地定義為 1,sinc 函式處處可解析。非歸一化sinc函式等同於歸一化sinc函式,只是它的變數中沒有放大係數 π。
函式形狀
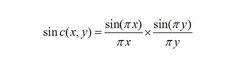
sinc函式二維sinc函式
函式定義
二維的sinc()函式是一維sinc函式的擴展,其歸一化定義為:
sinc函式形狀
二維的sinc()函式三維透視圖如下所示:
sinc
