歷史
在1614年開始有對數概念,約翰·納皮爾以及Jost Bürgi(英語:Jost Bürgi)在6年後,分別發表了獨立編制的對數表,當時通過對接近1的底數的大量乘冪運算,來找到指定範圍和精度的對數和所對應的真數,當時還沒出現有理數冪的概念。1742年William Jones(英語:William Jones (mathematician))才發表了冪指數概念。按後來人的觀點,Jost Bürgi的底數1.0001相當接近自然對數的底數e,而約翰·納皮爾的底數0.99999999相當接近1/e。實際上不需要做開高次方這種艱難運算,約翰·納皮爾用了20年時間進行相當於數百萬次乘法的計算,Henry Briggs(英語:Henry Briggs (mathematician))建議納皮爾改用10為底數未果,他用自己的方法於1624年部份完成了常用對數表的編制。
ln[自然對數]1649年,Alphonse Antonio de Sarasa(英語:Alphonse Antonio de Sarasa)將雙曲線下的面積解釋為對數。大約1665年,伊薩克·牛頓推廣了二項式定理,他將展開並逐項積分,得到了自然對數的無窮級數。“自然對數”最早描述見於尼古拉斯·麥卡托在1668年出版的著作《Logarithmotechnia》中,他也獨立發現了同樣的級數,即自然對數的麥卡托級數。大約1730年,歐拉定義互為逆函式的指數函式和自然對數.
e在科學技術中用得非常多,一般不使用以10為底數的對數。以e為底數,許多式子都能得到簡化,用它是最“自然”的,所以叫“自然對數”。
ln[自然對數]我們可以從自然對數最早是怎么來的來說明其有多“自然”。以前人們做乘法就用乘法,很麻煩,發明了對數這個工具後,乘法可以化成加法,即:。
當然後來數學家對這個數做了無數研究,發現其各種神奇之處,在對數表中出現並非偶然,而是相當自然或必然的。因此就叫它自然對數底了。
概念
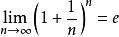
常數 e的含義是單位時間內,持續的翻倍增長所能達到的極限值。
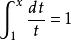
ln[自然對數]自然對數的底 e是由一個重要極限給出的。我們定義:當 n趨於無窮大時, .
e是一個無限不循環小數,其值約等於2.718281828459…,它是一個超越數。
函式類型
對數函式
ln[自然對數]
ln[自然對數]當自然對數 中真數為連續自變數時,稱為對數函式,記作 ( x為自變數, y為因變數)。
反函式
ln[自然對數]
ln[自然對數]
ln[自然對數]
ln[自然對數]歷史上自然對數y=lnx的產生要比e要早些,當時人們對於微分和不定積分的求法已經熟知,並且很早就得到了冪函式的不定積分表達式。但對於n=-1的情況,因n=-1代入冪函式的不定積分表達式中將使分母為0,所以該如何求原函式,或者說到底該如何積分,數學家們採用了多種方法均無法得到滿意的回答。
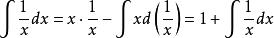
例如採用分部積分法,
ln[自然對數]
ln[自然對數]兩邊減掉,將得到0=1的結論。
ln[自然對數]於是數學家們想到了利用積分變限函式來給出的原函式,即定義一個新的函式
ln[自然對數]
ln[自然對數]
ln[自然對數]
ln[自然對數]
ln[自然對數]根據這個定義立刻可以知道。並且根據可導必連續的性質,lnx在(0,+∞)上處處連續、可導。其導數為1/x>0,所以在(0,+∞)單調增加。又根據反常積分和分別發散至可知,函式的值域為R。雖然這與現代對數函式的運算法則和性質相符,但當時人們並沒有意識到這就是對數函式,並且以e為底。
接下來人們便開始考慮y=lnx的反函式的問題。設y=lnx的反函式為x=f(y),由反函式的求導法則可知,
ln[自然對數]如果用x來表示自變數,y來表示因變數,那么自然對數的反函式y=f(x)滿足一個非常重要的性質:
ln[自然對數]
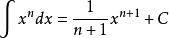
ln[自然對數]即這個函式求導後仍得到它本身,並且當x=0時,y=1,我們把這個函式寫作 。
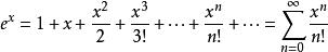
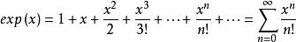
由反函式的性質可知y=exp(x)是定義在R上的單調遞增並且處處連續、可微的函式,其值域為(0,+∞)。由於exp(x)求導後得到它自身並且exp(0)=1,我們便可不斷地重複該步驟,通過冪級數的知識可知exp(x)能在R上展開成麥克勞林級數:
ln[自然對數]
ln[自然對數]那為什麼後來人們會發現 呢?這是因為當人們在求指數函式y=a 的導數時,採用了這樣的方法:
ln[自然對數]
ln[自然對數]
ln[自然對數]
ln[自然對數]
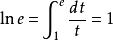
ln[自然對數]根據複合函式的求導法則, 。當a=e時, 。上文說過,在發明自然對數時,人們不知道y=lnx與e之間的關係,所以不知道lne=1。但是,利用 ,結合歸結原則有 ,於是:
ln[自然對數]所以:
ln[自然對數]
ln[自然對數]
ln[自然對數]
ln[自然對數]
ln[自然對數]
ln[自然對數]由於 與 求導以後都得到 ,根據原函式的性質, ,C為積分常數。將x=0代入等式兩端,有1=1+C,C=0,即證明了 。
ln[自然對數]
ln[自然對數]
ln[自然對數]
ln[自然對數]
ln[自然對數]數學家們才恍然大悟,原來 與 有著千絲萬縷的聯繫,並且知道了 是對數函式的一種,其底為e。又利用 ,得到了
令x=1,則又得到了一個關於e的定義式:
ln[自然對數]
ln[自然對數]
ln[自然對數]當然,根據 ,也可以將e定義為使 的x的取值。
e與π的哲學意義
數學講求規律和美學,可是圓周率π和自然對數e那樣基本的常量卻那么混亂,就如同兩個“數學幽靈”。人們找不到π和e的數字變化的規律,可能的原因:例如:人們用的是十進制,古人掰指頭數數,因為是十根指頭,所以定下了十進制,而二進制才是宇宙最樸素的進制,也符合陰陽理論,1為陽,0為陰。再例如:人們把π和e與那些規整的數字比較,所以覺得e和π很亂,因此涉及“參照物”的問題。那么,如果把π和e都換算成最樸素的二進制,並且把π和e這兩個混亂的數字相互比較,就會發現一部分數字規律,e的小數部分的前17位與π的小數部分的第5-21位正好是倒序關係,這么長的倒序,或許不是巧合。
說明 [ ]符號內為17位倒序區。
二進制π取部分值為11.0010 [ 01000011111101101]010100010001000010110100011
二進制e取部分值為10. [ 10110111111000010]101000101100010100010101110110101
17位倒序區的意義:或許暗示e和π的發展初期可能按照某種彼此相反的規律發展,之後e和π都脫離了這個規律。但是,由於2進制只用0和1來表示數,因而出現相同,倒序相同,柵欄重排相同的情況不足為奇,雖然這種情況不一定是巧合,但思辨性結論不是科學結論,不應該作為科學證據使用。
複數的對數
ln[自然對數]
ln[自然對數]
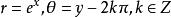
ln[自然對數]問題:求複數 的對數,規定 為 的幅角主值。
解答:
ln[自然對數]
ln[自然對數]
ln[自然對數]
ln[自然對數]設有一複數 ,其通過指數函式 將 映射為 。
ln[自然對數]∴
由複數相等的定義,得到:
ln[自然對數]
ln[自然對數]
ln[自然對數]所以 ,即
ln[自然對數]
ln[自然對數]
ln[自然對數]記 為對數函式,可以看到在複數中對數函式是多值函式(即一個自變數對應多個因變數),並且有無數個分支。特別地,當k=0時,稱 為對數函式的主值支,此時用記號 來表示。
即w的實部為z的模取自然對數,虛部為z的幅角主值。這就是當真數為複數時的對數運算公式。注意,因為實部需要對z的模取自然對數,因此r≠0。我們知道在複平面上只有0這個複數的模為0,其他任何複數的模都大於0,所以在複數域中,除了z=0以外所有的複數都可以求對數。
例:求ln(-1)
解:-1=cosπ+isinπ,其模為1,幅角主值為π。代入公式得:
ln[自然對數]
ln[自然對數]
ln[自然對數]由此可見 ,即 ,這就是歐拉恆等式。
![ln[自然對數] ln[自然對數]](/img/4/2e1/nBnauM3X3YTN1EDM5gTO4MTN0UTMyITNykTO0EDMwAjMwUzL4kzLzczLt92YucmbvRWdo5Cd0FmL0E2LvoDc0RHa.jpg)
