拆接關係
HOMFLY多項式HOMFLY多項式 由下述拆接關係唯一地定義 :
HOMFLY多項式
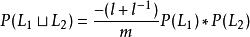
HOMFLY多項式
HOMFLY多項式其中 代表結圖表在某個交點附近的性狀,如下圖所示:
HOMFLY多項式上述關係可用以遞迴計算任一紐結之HOMFLY多項式,亦可導出
HOMFLY多項式其它拆接關係
透過適當的變元代換,上節的拆接關係可換為
HOMFLY多項式或者
HOMFLY多項式主要性質
與瓊斯多項式的關係:
HOMFLY多項式與亞歷山大多項式的關係:
HOMFLY多項式