定理內容
多項式餘數定理即餘數定理,內容是一個多項式f(x)除以(x-a)的餘數等於f(a)。
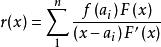
多項式餘數定理推論:
推廣形式
設a,a,…,a是 n 個不同的數,而 F(x)=(x-a)(x-a)…(x-a),對任意多項式 f(x)用F(x)除所得 的餘式為
多項式餘數定理證明
根據除法的定義及性質可知,被除數=除數×商+餘數。
設多項式P(x) 除以一次式(x-a) 所得的商為Q(x) ,餘數為R ,根據上面的性質可以列出下列恆等式令P(x) =(x-a)*Q(x) +R,令x=a代入上式即得P(a)=P(a-a)*Q(a)+R ,因此得到結論:P(x)除以(x-a) 後的餘數R=P(a) 。
注意:若除式不為(x-a) 的類型,依然可以利用上面的方法來求餘數(式),即先求出使除式為0的x的值,再代入恆等號兩邊。
例題
例4、確定m的值使多項式f(x)=x -3x +8x +11x+m能夠被x-1整除。
解:依題意f(x)含有因式x-1,故f(1)=0。
∴1-3+8+11+m=0。可得m=-17。
求一個關於x的二次多項式,它的二次項係數為1,它被x-3除餘1,且它被x-1除和被x-2除所得的餘數相同。
解:設f(x)=x +ax+b
∵f(x)被x-3除餘1,
∴f(3)=9+3a+b=1①
∵f(X)被(X-1)除和(x-2)除所得的餘數相同,
∴ f(1)=f(2)即1+a+b=4+2a+b②
由②得a=-3,代入①得b=1
∴f(x)=x -3x+1。
註:本例也可用待定係數法來解。同學們不妨試一試。

