重要性質
cholesky分解
cholesky分解1.若A對稱正定,則亦對稱正定,且>0;
cholesky分解2.A的順序主子陣亦對稱正定;
3.A的特徵值λi>0;
cholesky分解4.A的全部順序主子式det()>0。(A能夠作Cholesky分解的充要條件)
證明方式
cholesky分解設A=>0,則A的所有順序主子式為正
cholesky分解>0, i=1,2,...,n
矩陣A存在Doolittle分解:A=L1U
cholesky分解
cholesky分解易證=,i=1,2,...,n
其中di(i=1,...,n)為U的主對角元素,且有
di>0,i=1,2,...,n
記D=diag(d1,d2,...,dn)
A^T=A,(L1U)^T=L1U,U^T(L1)^T=L1U
(D^(-1)U)^TD(L1)^T=L1D(D^(-1)U)
(L1)^T(D^(-1)U)^(-1)=D^(-1)(U^(-1)D)^TL1D
D^(-1)U=(L1)^T,A=L1D(L1)^T,A=L1D^(1/2)D^(1/2)(L1)^T
A=(L1D^(1/2))(L1D^(1/2))^T
即
A=LL^T
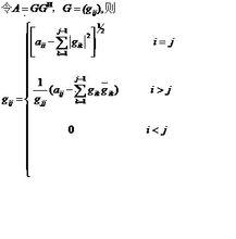
分解定義
如果矩陣A為n階對稱正定矩陣,則存在一個對角元素為正數的下三角實矩陣L,使得:
當限定L的對角元素為正時,這種分解是唯一的,稱為Cholesky分解。在Matlab中,Cholesky分解由函式chol實現,該函式要求輸入的矩陣是正定的。
遞推公式
cholesky分解
