公式簡介
齊次線性方程組:常數項全部為零的線性方程組。如果m<n(行數小於列數,即未知數的數量大於所給方程組數),則齊次線性方程組有非零解,否則為全零解。
定義
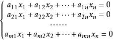
齊次線性方程組常數項全為0的n元線性方程組
稱為n元齊次線性方程組。設其係數矩陣為A,未知項為X,則其矩陣形式為AX=0。若設其係數矩陣經過初等行變換所化到的行階梯形矩陣的非零行行數為r,則它的方程組的解只有以下兩種類型:
當r=n時,原方程組僅有零解;
當r
1.當r=n時,原方程組僅有零解;
2.當r
證明
對齊次線性方程組的係數矩陣施行初等行變換化為階梯型矩陣後,不全為零的行數r(即矩陣的秩)小於等於m(矩陣的行數),若m<n,則一定n>r,則其對應的階梯型n-r個自由變元,這個n-r個自由變元可取任意取值,從而原方程組有非零解(無窮多個解)。
示例
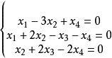
齊次線性方程組依照定理n=4>m=3一定是存在非零解。
對係數矩陣施行初等行變換:
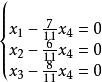
齊次線性方程組最後一個矩陣為最簡形,此係數矩陣的齊次線性方程組為:
齊次線性方程組令X為自由變元,X,X,X為首項變元。
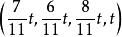
齊次線性方程組令X=t,其中t為任意實數,原齊次線性方程組的解為 。
判定定理
定理1
齊次線性方程組齊次線性方程組 有非零解的充要條件是r(A)<n。即係數矩陣A的秩小於未知量的個數。
推論
齊次線性方程組齊次線性方程組 僅有零解的充要條件是r(A)=n。
結構
齊次線性方程組解的性質
齊次線性方程組定理2 若x是齊次線性方程組的一個解,則kx也是它的解,其中k是任意常數。
齊次線性方程組定理3 若x1,x2是齊次線性方程組的兩個解,則x1+x2也是它的解。
齊次線性方程組
齊次線性方程組定理4 對齊次線性方程組,若r(A)=r<n,則存在基礎解系,且基礎解系所含向量的個數為n-r,即其解空間的維數為n-r。
求解步驟
1、對係數矩陣A進行初等行變換,將其化為行階梯形矩陣;
2、若r(A)=r=n(未知量的個數),則原方程組僅有零解,即x=0,求解結束;
若r(A)=r<n(未知量的個數),則原方程組有非零解,進行以下步驟:
3、繼續將係數矩陣A化為行最簡形矩陣,並寫出同解方程組;
4、選取合適的自由未知量,並取相應的基本向量組,代入同解方程組,得到原方程組的基礎解系,進而寫出通解.
性質
1.齊次線性方程組的兩個解的和仍是齊次線性方程組的一組解。
2.齊次線性方程組的解的k倍仍然是齊次線性方程組的解。
3.齊次線性方程組的係數矩陣秩r(A)=n,方程組有唯一零解。
齊次線性方程組的係數矩陣秩r(A)<n,方程組有無數多解。
4. n元齊次線性方程組有非零解的充要條件是其係數行列式為零。等價地,方程組有唯一的零解的充要條件是係數矩陣不為零。(克萊姆法則)

