基本介紹
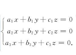
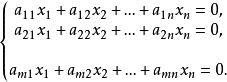
三元齊次線性方程組是指常數項為零的三元線性方程組,實數域R上以x,y,z為元的三個方程所組成的三元齊次線性方程組的標準形式是
三元齊次線性方程組顯然,定有解x=y=z=0,這是方程組的零解。當方程組的係數行列式D不為零時,它只有唯一的零解,當係數行列式D為零時,方程組除零解外,還有無數個非零解 。
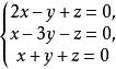
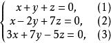
例如,方程組
三元齊次線性方程組的係數行列式D=2≠0,方程組有唯一的零解。
又如,方程組
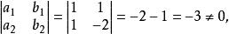
三元齊次線性方程組的係數行列式D=0,而
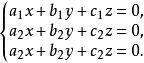
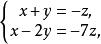
三元齊次線性方程組故可將方程 (1), (2) 寫成
三元齊次線性方程組而解得
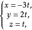
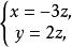
三元齊次線性方程組令z=t,則可得方程組的解為
三元齊次線性方程組(t可取任何實數) 。
齊次線性方程組
齊次線性方程組(system of homogeneous linear equations)是指常數項全為零的線性方程組,即線性方程組
三元齊次線性方程組x=0,x=0,…,x=0顯然是它的一個解,稱為零解,其他的解稱為非零解,齊次線性方程組的兩個解(解向量)的和,以及任意數與任意解(解向量)的乘積,仍為該齊次線性方程組的解(解向量)。齊次線性方程組任意一組解(解向量)的線性組合仍為該齊次線性方程組的解(解向量).因此,齊次線性方程組的全體解向量構成一個向量空間,稱為齊次線性方程組的解空間.設AX=0是數域P上m個方程的n元齊次線性方程組,則方程組AX=0有非零解的充分必要條件是矩陣A的秩r(A)<n。當m=n時,齊次線性方程組有非零解的充分必要條件是它的係數行列式等於零。

