定義
噪聲
噪聲是電路或系統中不含信息量的電壓或電流。在工業與自然界中,存在著各種干擾源(噪聲源),如大功率電力電子器件的接入、大功率用電設備的開啟與斷開、雷擊閃電等都會使空間電場和磁場產生有序或無序的變化,這些都是干擾源(或噪聲源)。這些源產生的電磁波或尖峰脈衝通過磁、電耦合或是通過電源線等路徑進入放大電路,各種電氣設備,形成各種形式的干擾。
高斯噪聲
所謂高斯噪聲是指它的機率密度函式服從高斯分布(即常態分配)的一類噪聲。如果一個噪聲,它的幅度分布服從高斯分布,而它的功率譜密度又是均勻分布的,則稱它為高斯白噪聲。高斯白噪聲的二階矩不相關,一階矩為常數,是指先後信號在時間上的相關性。高斯白噪聲包括熱噪聲和散粒噪聲。在通信信道測試和建模中,高斯噪聲被用作加性白噪聲以產生加性白高斯噪聲。
在電信和計算機網路中,通信信道可能受到來自許多自然源的寬頻高斯噪聲的影響,例如導體中的原子的熱振動(稱為熱噪聲或詹森 - 奈奎斯特噪聲),散粒噪聲,來自地球和其他溫暖的物體,以及來自太陽等天體。
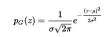
高斯公式高斯分布
高斯分布函式高斯分布,也稱常態分配,又稱常態分布,記為N(μ,σ^2),其中μ,σ^2為分布的參數,分別為高斯分布的期望和方差。當有確定值時,p(x)也就確定了,特別當μ=0,σ^2=1時,X的分布為標準常態分配。
數字圖像的高斯噪聲
在數字圖像中的高斯噪聲的主要來源出現在採集期間。 由於不良照明和/或高溫引起的感測器噪聲。在數字圖像處理中,可以使用空間濾波器來降低高斯噪聲,但是當對圖像進行平滑時,結果可能導致精細縮放的圖像邊緣和細節的模糊,因為它們也對應於被阻擋的高頻。 用於噪聲去除的常規空間濾波技術包括:平均(卷積)濾波,中值濾波和高斯平滑。
數字圖像的高斯噪聲高斯噪聲的抑制
在電子技術測控系統中,對干擾與噪聲抑制方法主要有禁止、合理接地、隔離、合理布線、淨化電源、濾波、採用專用器件等等措施。
除了採用通用的噪聲抑制方法外,對高斯噪聲的抑制方法常常採用數理統計方法。

