基本介紹
定義
非退化臨界點
非退化臨界點
非退化臨界點
非退化臨界點
非退化臨界點
非退化臨界點
非退化臨界點
非退化臨界點
非退化臨界點
非退化臨界點
非退化臨界點
非退化臨界點
非退化臨界點設是類流形,是類函式。點稱為函式的臨界點,如果在局部坐標下,等式成立。數稱為函式的 臨界值,流形上所有其餘的點將稱為函式的 非臨界點,所有不是函式臨界值的數稱為這個函式的 非臨界值。
非退化臨界點臨界點稱為 孤立的,如果可找到它的這種鄰域,在其中沒有其它的臨界點。臨界點稱為 非退化的,如果二階偏導數的矩陣是非退化的;反之,臨界點稱為 退化的。
非退化臨界點
非退化臨界點
非退化臨界點
非退化臨界點
非退化臨界點考慮二次型,其中,它稱為函式在點p處的Hessian二次型。因矩陣A是對稱的,二次型可通過適當地選取坐標,化為正則形式
非退化臨界點
非退化臨界點如果A非退化,則。
非退化臨界點
非退化臨界點
非退化臨界點
非退化臨界點
非退化臨界點數稱為函式在點的指標,而數稱為函式在點p的 退化度 。
例題解析
非退化臨界點
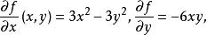
非退化臨界點由公式給定一個上的函式,顯然,偏導數
非退化臨界點
非退化臨界點
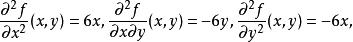
非退化臨界點它們僅在點同時為零。因此點是孤立臨界點,所有的二階偏導數
非退化臨界點
非退化臨界點
非退化臨界點
非退化臨界點
非退化臨界點
非退化臨界點
非退化臨界點
非退化臨界點
非退化臨界點在處也都為零,因此函式在點處的二階偏導數的矩陣是零矩陣,而函式在點的Hessian二次型恆等於零,這表明,臨界點是退化的,在點處,的退化度為2,指標為0 。
相關定理及概念
Morse引理
臨界點理論中的一個重要事實是:在臨界點的附近函式可表示為二次型的形狀,且函式的性態由它的指標來描述。
非退化臨界點
非退化臨界點
非退化臨界點
非退化臨界點
非退化臨界點定理1(Morse引理) 設是函式的非退化臨界點,則在點的某鄰域U中存在這樣的局部坐標系,使得,並且在U上成立以下恆等式
非退化臨界點
非退化臨界點
非退化臨界點
非退化臨界點
非退化臨界點其中是點的坐標,而是函式在點p的指標。
梯度場
非退化臨界點
非退化臨界點
非退化臨界點
非退化臨界點
非退化臨界點設是上的Riemann度量,對每一點,選一個向量,使得以下條件成立:對任意的向量,成立等式
非退化臨界點
非退化臨界點
非退化臨界點
非退化臨界點
非退化臨界點
非退化臨界點
非退化臨界點
非退化臨界點其中是函式在點的微分在向量處的值。所得的場稱為函式的梯度場,記作。

