隱函式
隱函式存在定理
隱函式存在定理設 ,函式 ,對於方程
隱函式存在定理(1)
隱函式存在定理
隱函式存在定理
隱函式存在定理
隱函式存在定理
隱函式存在定理
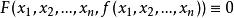
隱函式存在定理如果存在集合 ,對任何 ,有唯一確定的 ,使得 ,且滿足方程(1),則稱方程(1)確定了一個定義在 上,值域含於 的隱函式。若把它記為
隱函式存在定理則成立恆等式
隱函式存在定理
隱函式存在定理
隱函式存在定理
隱函式存在定理
隱函式存在定理
隱函式存在定理隱函式必須在指出它的方程以及x,y的取值範圍後才有意義。當然,在不產生誤解的情況下,其取值範圍也可不必一一指明,此外,還需指出:並不是任一方程都能確定出隱函式,如方程: ,當 時,就不能確定任何函式 ,使得: ;而只有當 時,才能確定隱函式。
隱函式定理
存在唯一性定理
隱函式存在定理若函式 滿足下列條件:
隱函式存在定理
隱函式存在定理(i) F 在以 為內點的某一區域 上連續
隱函式存在定理(ii) (通常稱為初始條件)
隱函式存在定理(iii) F在D記憶體在連續的偏導數
隱函式存在定理(iv)
則
隱函式存在定理
隱函式存在定理
隱函式存在定理
隱函式存在定理
隱函式存在定理
隱函式存在定理
隱函式存在定理
隱函式存在定理
隱函式存在定理
隱函式存在定理1° 存在點 的某領域 ,在 上方程 唯一地決定了一個定義在某區間 上的隱函式 ,使得當 時, ,且 , ;
隱函式存在定理
隱函式存在定理2° 在 上連續。
注意之處:
隱函式存在定理
隱函式存在定理
隱函式存在定理
隱函式存在定理
隱函式存在定理
隱函式存在定理
隱函式存在定理
隱函式存在定理
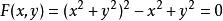
隱函式存在定理(1)該定理的條件僅僅是充分的,例如方程 ,在點 不滿足條件(iv)( ),但它仍能確定惟一的函式 。當然,由於條件(iv)不滿足,往往導致定理結論的失效,例如雙紐線,其方程為: 。由於 , 與 均連續,故滿足定理(i)(ii)(iii),但因 ,致使在原點的無論怎樣小的鄰域內都不可能存在唯一的隱函式。
隱函式存在定理(2)在定理的證明過程中,條件(iii)和(iv)只是用來保證存在 的某一鄰域,在此鄰域內F關於變數y是嚴格單調的。
隱函式存在定理
隱函式存在定理
隱函式存在定理(3)如果把定理的條件(iii)、(iv)改為 連續,且 ,這時,結論是存在惟一的連續函式
可微性定理
隱函式存在定理
隱函式存在定理
隱函式存在定理
隱函式存在定理
隱函式存在定理設 滿足隱函式存在惟一性定理中的條件(i)-(iv),又設在D上還存在連續的偏導數 ,則由方程(1)所確定的隱函式 在其定義域 上有連續導函式,且
n元隱函式
n元隱函式的惟一存在與連續可微性定理:
若
隱函式存在定理
隱函式存在定理
隱函式存在定理(i)函式在以點為內點的區域 上連續,
隱函式存在定理(ii)
隱函式存在定理(iii)偏導數在D上存在且連續
隱函式存在定理(iv)
則
隱函式存在定理
隱函式存在定理
隱函式存在定理
隱函式存在定理
隱函式存在定理
隱函式存在定理
隱函式存在定理1° 存在點 的某鄰域,在上方程惟一地確定了一個定義在的某鄰域 上的n元連續函式(隱函式),使得:
隱函式存在定理當 時
隱函式存在定理且
隱函式存在定理
隱函式存在定理
隱函式存在定理
隱函式存在定理
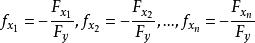
隱函式存在定理2°在上有連續偏導數,而且
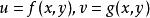
隱函式存在定理隱函式組
若
隱函式存在定理
隱函式存在定理
隱函式存在定理
隱函式存在定理(i)與在以點 為內點的區域 上連續
隱函式存在定理(ii)(初始條件)
隱函式存在定理
隱函式存在定理(iii)在 上 具有一階連續偏導數
隱函式存在定理
隱函式存在定理(iv) 在點 不等於零
則
隱函式存在定理
隱函式存在定理
隱函式存在定理
隱函式存在定理
隱函式存在定理1° 存在點的某一(四維空間)鄰域,在上,方程組(1)惟一地確定了定義在點的某一(二維空間)鄰域上的兩個二元隱函式
隱函式存在定理使得:
隱函式存在定理
隱函式存在定理,且當 時
隱函式存在定理
隱函式存在定理
隱函式存在定理
隱函式存在定理
隱函式存在定理2°在上連續
隱函式存在定理
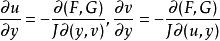
隱函式存在定理3°在上有一階偏導數,且
隱函式存在定理
隱函式存在定理
