簡介
代數基本定理[數學定理]
代數基本定理[數學定理]代數學基本定理說明,任何復係數一元n次多項式方程在複數域上至少有一根。
由此推出,n次復係數多項式方程在複數域內有且只有n個根(重根按重數計算)。
有時這個定理表述為:任何一個非零的一元n次復係數多項式,都正好有n個複數根。這似乎是一個更強的命題,但實際上是“至少有一個根”的直接結果,因為有一個根x,只要不斷把多項式除以(x-x),即可從有一個根推出有n個根。
儘管這個定理被命名為“代數基本定理”,但它還沒有純粹的代數證明,許多數學家都相信這種證明不存在。另外,它也不是最基本的代數定理;因為在那個時候,代數基本上就是關於解實係數或復係數多項式方程,所以才被命名為代數基本定理。
證明歷史
代數基本定理在代數乃至整個數學中起著基礎作用。 最早該定理由德國數學家羅特於1608年提出。 據說,關於代數學基本定理的證明,現有200多種證法。 迄今為止,該定理尚無純代數方法的證明。大數學家 J.P. 塞爾 曾經指出:代數基本定理的所有證明本質上都是拓撲的。 美國數學家John Willard Milnor在數學名著《從微分觀點看拓撲》一書中給了一個幾何直觀的證明,但是其中用到了和臨界點測度有關的sard定理。 複變函數論中,對代數基本定理的證明是相當優美的,其中用到了很多經典的複變函數的理論結果。
該定理的第一個證明是法國數學家達朗貝爾給出的,但證明不完整。接著,歐拉也給出了一個證明,但也有缺陷,拉格朗日於1772年又重新證明了該定理,後經高斯分析,證明仍然很不嚴格的。
代數基本定理的第一個嚴格證明通常認為是高斯給出的(1799年在哥廷根大學的博士論文),基本思想如下:
代數基本定理[數學定理]
代數基本定理[數學定理]設為n次實係數多項式,記,考慮方根:
代數基本定理[數學定理]
代數基本定理[數學定理]
代數基本定理[數學定理]即與
代數基本定理[數學定理]
代數基本定理[數學定理]
代數基本定理[數學定理]
代數基本定理[數學定理]
代數基本定理[數學定理]
代數基本定理[數學定理]這裡與分別表示oxy坐標平面上的兩條曲線C1、C2,於是通過對曲線作定性的研究,他證明了這兩條曲線必有一個交點,從而得出,即,因此z0便是方程的一個根,這個論證具有高度的創造性,但從現代的標準看依然是不嚴格的,因為他依靠了曲線的圖形,證明它們必然相交,而這些圖形是比較複雜,正中隱含了很多需要驗證的拓撲結論等等。
高斯後來又給出了另外三個證法,其中第四個證法是他71歲公布的,並且在這個證明中他允許多項式的係數是複數 。
證明方法
所有的證明都包含了一些數學分析,至少是實數或複數函式的連續性概念。有些證明也用到了可微函式,甚至是解析函式。
定理的某些證明僅僅證明了任何實係數多項式都有複數根。這足以推出定理的一般形式,這是因為,給定復係數多項式 p( z),以下的多項式
代數基本定理[數學定理]就是一個實係數多項式,如果 z是 q( z)的根,那么 z或它的共軛複數就是 p( z)的根。
代數基本定理[數學定理]許多非代數證明都用到了“增長引理”:當| z|足夠大時,首係數為1的 n次多項式函式 p( z)的表現如同 z。一個更確切的表述是:存在某個正實數 R,使得當| z| > R時,就有:
複分析證明
證明一
尋找一個中心為原點,半徑為 r的閉圓盤 D,使得當| z| ≥ r時,就有| p( z)| > | p(0)|。因此,| p( z)|在 D內的最小值(一定存在,因為 D是緊緻的),是在 D的內部的某個點 z0取得,但不能在邊界上取得。於是,根據最小模原理, p( z0) = 0。也就是說, z0是 p( z)的一個零點(根)。
證明二
由於在 D之外,有| p( z)| > | p(0)|,因此在整個複平面上,| p( z)|的最小值在 z0取得。如果| p( z0)| > 0,那么1/ p在整個複平面上是有界的全純函式,這是因為對於每一個複數 z,都有|1/ p( z)| ≤ |1/ p( z0)|。利用劉維爾定理(有界的整函式一定是常數),可知1/ p是常數,因此 p是常數。於是得出矛盾,所以 p( z0) = 0。
證明三
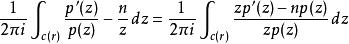
代數基本定理[數學定理]這個證明用到了輻角原理。設 R為足夠大的正實數,使得 p( z)的每一個根的絕對值都小於 R;這個數一定存在,因為 n次多項式函式最多有 n個根。對於每一個 r > R,考慮以下的數:
其中 c( r)是中心為0,半徑為 r的逆時針方向的圓;於是輻角原理表明,這個數是 p( z)在中心為0、半徑為 r的開圓盤內的零點的數目 N,由於 r > R,所以它也是 p( z)的零點的總數目。另一方面, n/ z沿著 c( r)的積分除以2π i,等於 n。但這兩個數的差為:
代數基本定理[數學定理]被積分的有理表達式中的分子,次數最多是 n 1,而分母的次數是 n + 1。因此,當 r趨於+∞時,以上的數趨於0。但這個數也等於 N n,因此有 N = n。
證明四
這個證明結合了線性代數和柯西積分定理。為了證明每一個 n > 0次復係數多項式都有一個根,只需證明每一個方塊矩陣都有一個複數特徵值。證明用到了反證法。
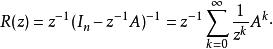
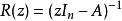
設 A為大小 n > 0的方塊矩陣,並設 In為相同大小的單位矩陣。假設 A沒有特徵值。考慮預解函式
代數基本定理[數學定理]它在複平面上是亞純函式,它的值位於矩陣的向量空間內。 A的特徵值正好是 R(z)的極點。根據假設, A沒有特徵值,因此函式 R(z)是整函式,根據柯西積分定理可知:
代數基本定理[數學定理]另一方面,把 R(z)展開為幾何級數,可得:
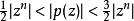
代數基本定理[數學定理]這個公式在半徑為|| A||的閉圓盤的外部( A的運算元範數)成立。設 r > || A||。那么:
代數基本定理[數學定理](僅當 k = 0時,積分才不等於零)。於是得出矛盾,因此 A一定有一個特徵值。
拓撲學證明
代數基本定理[數學定理]
代數基本定理[數學定理]
代數基本定理[數學定理]
代數基本定理[數學定理]設為使| p( z)|在取得最小值的數; 從用到劉維爾定理的證明中,可以看到這樣一個數一定存在。我們可以把 p( z)寫成 z z0的多項式:存在某個自然數 k和一些複數,使得,以及:
代數基本定理[數學定理]
代數基本定理[數學定理]可推出如果 a是的一個 k重根,且 t是足夠小的正數,那么| p( z0 + ta)| < | p( z0)|,這是不可能的,因為| p( z0)|是| p|在 D內的最小值。
代數基本定理[數學定理]對於另外一個用到反證法的拓撲學證明,假設 p( z)沒有根。選擇一個足夠大的正數 R,使得對於| z| = R, p( z)的第一項 z大於所有其它的項的和;也就是說,| z| > | an 1 z + ··· + a0|。當 z依逆時針方向繞過方程為| z| = R的圓一次時, p( z),像 z那樣,依逆時針方向繞過零 n次。在另外一個極端,| z| = 0時,“曲線” p( z)僅僅是一個(非零的)點 p(0),它的卷繞數顯然是0。如果 z所經過的迴路在這兩個極端中被連續變形,那么 p( z)的路徑也連續變形。我們可以把這個變形記為,其中 t大於或等於0,而小於或等於1。如果我們把變數 t視為時間,那么在時間為零時,曲線為 p(z),時間為1時,曲線為 p(0)。顯然在每一個點 t,根據原先的假設 p(z)都不能是零,因此在變形的過程中,曲線一直都沒有經過零。因此曲線關於0的繞數應該不變。然而,由於繞數在一開始是 n,結束時是0,因此得出矛盾。所以, p( z)至少有一個根 。
代數證明
代數基本定理[數學定理]
代數基本定理[數學定理]這個證明需要依賴實數集的如下事實:正實數R在上有實平方根,以及任何奇次多項式在上有一個根(這可以用介值定理證明)。
代數基本定理[數學定理]
代數基本定理[數學定理]
代數基本定理[數學定理]
代數基本定理[數學定理]首先。經過簡單的計算可以證明在開平方運算下是封閉的(利用事實1)。結合。得出不存在二階擴張。
代數基本定理[數學定理]
代數基本定理[數學定理]
代數基本定理[數學定理]
代數基本定理[數學定理]
代數基本定理[數學定理]
代數基本定理[數學定理]
代數基本定理[數學定理]
代數基本定理[數學定理]由於,於是任何的擴張都是可分的,從而任何的代數擴張都可以被包含在一個伽羅瓦擴張內。假設是一個伽羅瓦擴張。考慮伽羅瓦群的西羅2-子群 H。那么是奇數。由本原元定理得出, K存在本原元,它的極小多項式是奇次的。但是利用實數集的事實2,任何奇次數多項式在實數上有一個根,於是不存在奇次的且次數>1的不可約多項式。於是是2的冪次。
代數基本定理[數學定理]
代數基本定理[數學定理]
代數基本定理[數學定理]
代數基本定理[數學定理]假設並且 r>0,再次利用西羅定理, G存在一個階為 2的子群 N。這時。這和先前不存在二階擴張矛盾。因此的任何代數擴張都是本身,代數基本定理得證。
![代數基本定理[數學定理] 代數基本定理[數學定理]](/img/2/3ea/nBnauM3XwIDNycDOzgDN0ETN1UTM1QDN5MjM5ADMwAjMwUzL4QzLzczLt92YucmbvRWdo5Cd0FmL0E2LvoDc0RHa.jpg)
