定義
阿基米德蝸桿的特點是在軸向剖面中的齒形呈直線,齒形角一般為20°。在同螺紋方向l垂直的法向剖面中的齒形是曲線,在與軸線垂直的端剖面中的齒形是阿基米德螺旋線(等進螺線),在其他任何剖面中的齒形都不是直線。
得到正確的阿基米德蝸桿,方法很簡單:把車刀刀刃磨成齒形角為20°的直線刃,並使它保持在車床中心高的水平面內進行切削(如下圖)。
阿基米德蝸桿由於蝸桿螺紋升角(λ)的影響,車刀切削時的實際前角γ和實際后角α將不同於車刀的刃磨角度(γ和α)。對於右旋蝸桿(正扣蝸桿),左側刃切削時的實際后角α將小於刃磨后角α,切削時的實際前角γ將大於刃磨前角γ。右側刃則相反,切削時的實際后角α右實增大,而實際前角γ減小,如圖所示。
阿基米德蝸桿阿基米德蝸桿是目前在生產中最常見的蝸桿類型。
蝸輪傳動
蝸桿的基本參數
阿基米德蝸桿
阿基米德蝸桿
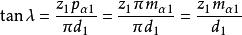
阿基米德蝸桿阿氏蝸桿的端面齒形為阿氏螺線,軸面為齒條(如圖)。阿氏蝸桿就是齒形角為40°的螺桿,其基本參數以軸面為標準值,它們是:螺紋的頭數z,模數m,壓力角,還有和。由於以上參數還不能確定蝸桿分度圓的直徑d,為了限制滾刀的數量又標準化了一個新的參數d,這樣一個模數只有1~2把滾刀。
蝸桿分度圓的升角由下式計算:
阿基米德蝸桿
阿基米德蝸桿基本參數
蝸桿軸面為齒條,所以切制出來的蝸輪輪齒在主截面(過蝸桿軸並與蝸輪軸垂直的截面)的齒形為漸開線(如上圖)。蝸輪的基本參數以主截面為標準值,它們是:
阿基米德蝸桿此外還有z、h*、c*。及變位係數x和螺旋角β。蝸桿不變位,蝸輪的變位原理與齒輪齒條變位相同。變位的目的是為了湊中心距或對蝸輪採取正變位以提高其承載能力。
蝸桿蝸輪傳動
蝸桿蝸輪傳動等效於其主截面內的齒條齒輪傳動。可仿照齒輪齒條傳動得其能連續傳動的必要條件是:
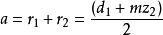
阿基米德蝸桿同理,標準蝸桿蝸輪傳動的中心距:
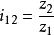
阿基米德蝸桿傳動比:
阿基米德蝸桿
阿基米德蝸桿蝸桿蝸輪傳動的特點是單級傳動比大,一般實用的是,分度用的蝸桿蝸輪傳動的傳動比可達500。但隨著i的增大,其機械效率顯著降低。此外,和螺旋副相似,當滿足下面的條件時,它具有反向自鎖的性能,即:
阿基米德蝸桿車削及磨削
阿基米德蝸桿的車削
用車刀切削阿基米德蝸桿車削阿基米德蝸桿螺旋面,與在車床上車削普通螺紋的方法完全相同。 車刀直線刃嘟應置於蝸桿軸向內,如圖冊所示。其車刀形狀如圖冊所示。當蝸桿導程角小而齒距也不大時,可同時加工兩側齒面。若導程角大,則需增大左右切削刃刀具角β和β的差。
阿基米德蝸桿除車削加工外,還可以採用銑削加工,但銑刀的切削刃必須採用理論上求出的特定曲線。
阿基米德蝸桿的磨削
阿基米德蝸桿螺旋面可在S7520型螺紋磨床上用盤形錐面砂輪進行磨剛,與磨削普通的梯形螺旋一樣,在磨削寸應將砂輪軸線對蝸桿軸線傾斜一個蝸桿導程角。由於蝸桿螺旋面在不同直徑上導程角不同,而砂輪的傾斜角應等於蝸桿分度圓柱螺旋導程角,因而在磨削時有干涉現象發生。為此,砂輪在軸更上的刃廓應不為直線。在S7520型螺紋磨床上所採用的普通砂輪修整器,只能修整刃廓為直線的砂輪,造成蝸桿齒廊形狀有歪曲現象發生,且歪曲量隨著蝸桿螺旋導程角、砂輪直徑及齒高的增大而增加。
在加工較大導程角的蝸桿時,應採用S7732蝸桿磨床。該磨床帶有砂輪校正器和磨樣板裝直,可將砂輪修整成理論上計算的特定曲線,從而磨出正確的蝸桿齒形,以減小或消除上述截面歪曲現象。
特點
阿基米德蝸桿的特點是蝸桿的軸向截面齒形為直線形的。蝸輪滾刀的基本蝸桿應當等於與被切蝸輪相嚙合的蝸桿的基本尺寸(即軸向模數m,分度園直經D,螺旋方向一左旋或右旋,螺紋頭數Z,螺旋升角λ,齒形角α),同時,蝸輪滾刀切制蝸輪時,刀具與被切蝸輪所處的相互空間位置,應當符合於蝸輪與對應的蝸桿在相互嚙合傳動時所處的空間位置,因此:每一單獨的蝸輪,有其專用的蝸輪滾刀。

