定義
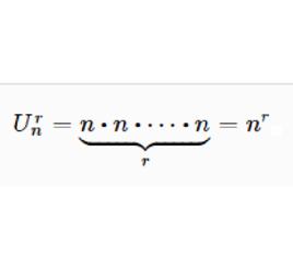
重複排列從n個不同的元素中每次取出 r 個元素,並且允許元素重複出現的排列叫做允許重複的排列,即 重複排列,其排列總數記作。
可以通過例題理解重複排列。
例1 由1,2,3,4,5,6,7,8,9可以組成多少個五位數?
解: 第一位(萬位)可以是1,2,3,4,5,6,7,8,9中的任何一個,因而有9種確定第一位的方式;
由於題目中沒有限制數字不重複,即允許數字重複,因而第二位(千位),第三位(百位),第四位(十位)和第五位(個位)都各有9種確定的方式;
因此可以組成9×9×9×9×9=9 (個)五位數。
例2 有10個燈泡並聯在一起,排成一排,由燈泡“亮”與“不亮”可以組成多少個不同的信號?
解: 每個燈泡都有“亮”與“不亮”兩種信號,因此有
重複排列個不同的信號。
我們分析一下這兩個例題:
像12 234,23 335就是例1中的兩個不同的排列,其中2和3重複出現在排列中,在例2中,如果設1為燈泡“亮”,0為燈泡“不亮”,這樣1000100011就是例2中的一個排列,其中0和1都重複出現在排列中。
重複排列規律
關於重複排列的計數方法有下面的規律。
定理1
設有n個不同的元素,從這n個不同的元素中每次取出 r 個元素的重複排列的個數為
重複排列證明: 設取出的 r 個元素排在 r 個位置上。
第一個位置上可以取n個不同的元素中的任何一個,所以有n種不同的取法;
由於元素允許重複,所以第二個位置也有n種不同的取法;
同樣,每個位置上的元素都有n種不同的取法。
所以,從這n個不同的元素中每次取出 r 個元素的重複排列的個數為
重複排列這裡需要指出的是 n 和 r 只要都是正整數就可以,r 不受 n 的約束,即 r 可以小於n,也可以大於n,也可以等於n。
例題解析
例3 從1到100 000的所有正整數中,至少有一位包含1的正整數有多少個?
解: 從1到100 000的所有正整數共有10 個,在這些數中,不包含1的正整數,相當於從0,2,3,4,5,6,7,8,9取出5個的重複排列,有
重複排列(個).
但是,其中有一個數00 000不是正整數。
從1到100 000的所有正整數中,至少有一位包含1的正整數,應該從1到100 000的所有正整數中減去不包含1的正整數,由於其中也減去了00 000,故多減去一個,於是,從1到100 000的所有正整數中,至少有一位包含1的正整數有
10 -(9 -1)=10 -9 +1=40 952(個).
例4 有7封信,隨意投人3個信箱,有多少種投法?
重複排列解: 第1封信有3種投法,由於是隨意投入信箱,因此,投入的信箱允許重複,所以第2,3,4,5,6,7封信也都有3種投法,於是共有(種)投法。

