超越方程數值解法
正文
當一元方程ƒ(z)=0的左端函式ƒ(z)不是z的多項式時,稱之為超越方程。這類方程除極少數情形(如簡單的三角方程)外,只能近似地數值求解,此種數值解法的研究至今仍是計算數學的主要課題。超越方程的數值解法也適用於代數方程。數值求解超越方程時首先需要確定解的分布區域,它可以利用圖解法或者根據ƒ(z)的解析性質來確定。當ƒ(x)為實函式時,確定方程實根的分布的最常用方法是套用連續函式的中值定理:如果實的連續函式ƒ(x)在區間【α,b】的兩個端點的值異號,則ƒ(x)在此區間內至少有一個根。
二分法 利用中值定理計算實函式實根的簡單易行的方法,算法如下:
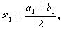
設區間【α0,b0】滿足條件ƒ(α0)ƒ(b0)<0,【α0,b0】的二等分點為
計算ƒ(x0)的值,若ƒ(x0)=0,即為所求解;若ƒ(x0)ƒ(α0)<0,取α1=α0,b1=x0作為新的區間端點;若ƒ(x0)ƒ(α0)>0,取α1=x0,b1=b0作為新區間的端點。【α1,b1】的二分點為
計算ƒ(x1)的值並重複上述步驟以確定新的區間【α2,b2】,如此繼續下去。則得到區間序列 【αk,bk】(k=0,1,…),它滿足ƒ(αk)ƒ(bk)<0,並且
當bk-αk達到指定的精確度要求時,則取
為方程的解,它與精確解的誤差不超過
疊代法 解超越方程的主要方法,既適用於求實根,也適用於求復根。使用這類方法時一般需要知道根的足夠好的近似值。最常用的方法有牛頓法、割線法、二次插值法、雙曲插值法、切比雪夫疊代法、艾特肯δ2加速方法和斯梯芬森方法等。
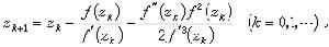
牛頓法 也稱切線法,其計算公式為

為 ƒ(z)的根,若ƒ(z)在z
的某鄰域內二次可微,且ƒ┡(z
)≠0,則當z0與z
充分接近時,牛頓法至少是二階收斂的,即當k充分大時有估計式
成立,C為確定的常數。一般說來,牛頓法只具有局部收斂性,即僅當初始近似與根充分接近時才收斂。但是,當ƒ(x)為實函式,且於【α,b】上ƒ┡(x)和 ƒ″(x)不變號時,若ƒ(x)於【α,b】上有根,則只要初始近似x0滿足條件ƒ(x0) ƒ″(x0)>0,牛頓法就收斂。一般情形,為減弱對初始近似的限制,可利用牛頓下降算法,其算式為 
割線法 又稱弦位法,其算式為

的某鄰域二次連續可微,且ƒ┡(z
)≠0,則z0、z1與z
充分接近時,割線法收斂於z
,並當k充分大時有估計式
式中C為常數,
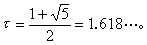
割線法的k+1次近似zk+1是以zk、zk-1為插值節點的線性插值函式的根,如果利用更精確的近似表達式則可構造出更高階的疊代法。 二次插值法 亦稱繆勒方法,是利用二次插值多項式構造的疊代算法。設已確定了zk、zk-1、zk-2,則zk+1就取為以 zk、zk-1、zk-2為節點的二次插值多項式兩個根中與zk最接近者,其算式為


- 
式中
當分母為0,則λk=1。 雙曲插值法 利用線性分式插值構造的疊代算法,其算式為


若ƒ(z)在其根z
的某鄰域內三次可微,並且z0、z1、z2與z
充分接近,則二次插值法和雙曲插值法均收斂。此外,如果ƒ┡(z
)≠0,對充分大的 k,有估計式
式中 C為確定常數,τ為方程式t3-t2-t-1=0的惟一正根,τ=1.839…。 切比雪夫疊代法 三階收斂的方法,其算式為

的鄰域內三次可微且ƒ┡(z
)≠0時,對充分大的k,有
C為確定常數。 艾特肯δ2加速方法 提高疊代法收斂速度的有效算法,設{zk}為疊代序列,δ2加速的算式為

處充分光滑,且ƒ(z
)≠0,則對充分大的k,有
並且若zk是p(p>1)階收斂,即
C0均為常數。當ƒ┡(z
)=0時也有加速作用。此算法可以循環使用。 斯梯芬森方法 不算微商而二階收斂的方法,其算式為

循環使用 δ2程式導出。 所有的疊代法用於求重根(即ƒ┡(z
)=0)時, 其收斂速度將變慢,收斂階將降低。 為求得達到所需精度的解而花費的代價是評價疊代法優劣的依據,效能指數是其重要指標,它定義為p1/寶,p 為收斂階,μ 為每步需要計算的函式值和微商值的總數。效能指數越大,說明方法越好。二分法及上述各種疊代法的收斂階(單根時和重根時)和效能指數如表。
超越方程數值解法參考書目
A.Ostrowski,Solutions of Equations in Euclidean and Banach Spaces, 3rd ed., Academic Press, New York, 1973.
J.F.Traub,Iterative Methods for the Solution of Equations, Prentice-Hall, Englewood Cliffs, New Jersey, 1964.

