基本介紹
在數域F上只含有一個未知數的方程,叫做F上的一元方程,一元一次方程、一元二次方程等都是一元方程。一元方程的解又叫做方程的根。
含有未知數的等式叫做關於這個(或這些)未知數的方程,簡稱方程。方程中的未知數叫做方程的元。含有幾個未知數的方程就叫做幾元方程。例如,關於x的方程ax=b,就是以x為未知數的一元方程。等式F(x,y,z)=F(x,y,z)就表示一個以x,y,z為元的三元方程。
一元方程的解與解集
能夠使方程左右兩邊的值相等的未知數的值,叫做方程的解。多元方程的解是一組未知數的值。如x=2,y=1是二元方程2x-y=3的一個解 。
一元方程的解也叫做方程的根。如果一個方程的全體根中有幾個根相等,那么這幾個根叫做重根。例如一元方程x (x-1) (x+3)=0,它的根是x=x=x=0,x=x=1,x=-3,那么“0”就是它的三重根,“1”就是它的二重根,“-3”不是重根,可以稱之為單根,一般只對整式方程研究重根問題。
一個方程的解的全體所組成的集合,叫做這個方程的解的集合,簡稱解集。若方程無解,解集就是空集。無解的方程叫做矛盾方程,故矛盾方程的解集是空集 。
求出方程的所有的解或判斷方程無解的過程,叫做解方程。在不同的數集裡解同一個方程,所得的解集不一定相同。例如一元方程
一元方程在有理數集裡有兩個根是±1,其解集是{1,-1};在實數集裡有四個根是
一元方程那么在實數集裡解此方程所得解集為
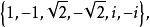
一元方程在複數集裡解此方程則有六個根:
一元方程故得解集為
一元方程再如方程
一元方程在實數集裡是矛盾方程,在複數集裡則不是矛盾方程。一般地,應指明在什麼範圍(數域)里研究。中學數學裡解方程時若不明確求解的範圍(數域),即是指在實數域裡求解 。

