泊松方程和拉普拉斯方程
正文
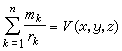
勢函式的一種二階偏微分方程。廣泛套用於電學、磁學、力學、熱學等多種熱場的研究與計算。簡史 1777年,J.L.拉格朗日研究萬有引力作用下的物體運動時指出:在引力體系中,每一質點的質量mk除以它們到任意觀察點P的距離rk,並且把這些商加在一起,其總和
即P點的勢函式,勢函式對空間坐標的偏導數正比於在 P點的質點所受總引力的相應分力。1782年,P.S.M.拉普拉斯證明:引力場的勢函式滿足偏微分方程:
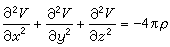
,叫做勢方程,後來通稱拉普拉斯方程。1813年,S.-D.泊松撰文指出,如果觀察點P在充滿引力物質的區域內部,則拉普拉斯方程應修改為
,叫做泊松方程,式中ρ為引力物質的密度。文中要求重視勢函式 V在電學理論中的套用,並指出導體表面為等熱面。 靜電場的泊松方程和拉普拉斯方程 若空間分區充滿各向同性、線性、均勻的媒質,則從靜電場強與電勢梯度的關係E=-墷V和高斯定理微分式
,即可導出靜電場的泊松方程:
,
。


邊界條件和解的唯一性 為了在給定區域內確定滿足泊松方程以及邊值關係的解,還需給定求解區域邊界上的物理情況,此情況叫做邊界條件。有兩類基本的邊界條件:給定邊界面上各點的電勢,叫做狄利克雷邊界條件;給定邊界面上各點的自由電荷
,叫做諾埃曼邊界條件。 邊界幾何形狀較簡單區域的靜電場可求得解析解,許多情形下它們是無窮級數,稍複雜的須用計算機求數值解,或用圖解法作等勢面或力線的場圖。
除了靜電場之外,在電學、磁學、力學、熱學等領域還有許多服從拉普拉斯方程的勢場。各類物理本質完全不同的勢場如果具有相似的邊界條件,則因拉普拉斯方程解的唯一性,任何一個勢場的解,或該勢場模型中實驗測繪的等熱面或流線圖,經過對應物理量的換算之後,可以通用於其他的勢場。
靜磁場的泊松方程和拉普拉斯方程 在SI制中,靜磁場滿足的方程為


0的區域裡,磁矢勢滿足的方程為 


參考書目
郭碩鴻著:《電動力學》,人民教育出版社,北京,1979。
J.D.傑克遜著,朱培豫譯:《經典電動力學》下冊,人民教育出版社,北京,1980。(J.D. Jackson,Classical electrodynamics,John Wilye & Sons,New York,1976.)

