赫茲矢量
正文
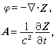
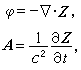
描述電磁場的矢量函式。由於對電磁勢(A,嗞)可以加上一定的限制條件,因此嗞以及A的三個分量這四個量當中只有三個量是獨立的。所以,原則上說可以用一個矢量函式去描述電磁場。H.R.赫茲於1888年找到了這種矢量函式,後來A.里紀在1901年又對此作了全面闡述。對任一給定的電磁場,可以引入一個矢量Z,將洛倫茲規範下的電磁勢(A,嗞)表示為





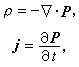
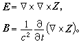
在沒有自由電荷和傳導電流的空間,也可引入矢量A*和標量嗞*,使之滿足下列關係



描述電磁場的矢量函式。







菲爾茲獎,是一個在國際數學聯盟的國際數學家大會上頒發的獎項。每四年頒獎一次,頒給有卓越貢獻的年輕數學家,每次最多四人得獎。得獎者須在該年元旦前未滿四十歲...
內容 獎項介紹 成就東南大學太赫茲研究所是為了進一步促進我校電子學科整體水平的提高,加強我校太赫茲科學的研究而成立的,是隸屬東南大學科技處管理的掛靠在電子科學與工程學院下的...
的內置高速電動機,變頻器的輸出頻率必須達到上千或幾千赫茲。電源變頻一...的交流調速領域主要有矢量控制和直接轉矩控制兩種。1968年...對此理論進行了總結和實現,並以專利的形式發表,逐步完善並形成了各種矢量控制...
發明者 正文信息 主軸介紹 電源變頻 轉矩控制的微小物體。波動量子=量子的波動=微粒子的平動+振動=平動+振動=矢量和量子鬼波的DENG'S詮釋:微粒子(量子)平動與振動的矢量和粒子波、量子波...研究的好地方。現在,海因里希·魯道夫·赫茲(Heinrich Rudolf...
一句名言 簡介 作者簡介 目錄 四維量子認為,光的電磁理論是由麥克斯韋首先提出,後經赫茲用實驗所證實。麥克斯韋...才能成立,而“光是電磁波”這一論斷至今還沒有得到實驗驗證,赫茲1887年...的理論基礎和實驗依據。赫茲的實驗能不能證明“光是電磁波”?據文獻記載推得。赫茲...
簡介 電磁理論 本質介紹簡介電學自從18世紀中葉以來,電的研究逐漸蓬勃開展。它的每項重大發現都引起廣泛的實用研究,從而促進科學技術的飛速發展。至今,無論...
簡介 意義 套用發展 國中電路知識《電磁場基礎》詳細介紹了電磁場理論的基礎知識,主要內容包括矢量和場的基本概念...是IEEE的終生會士和ASEE的終生會員。圖書目錄第1章 矢量和場 1.1 矢量代數1.2 笛卡兒坐標系1.3 標量場和矢量場1.4 正弦時變場...
圖書信息 內容簡介 作者簡介 圖書目錄 21世紀高等學校電子信息工程型規劃教材成為赫茲進行電磁波實驗的先導。1885年,赫茲利用一個具有初級和次級兩個...,次級繞組兩端的狹縫中間便產生電火花,,赫茲立刻想到,這可能是一種電磁共振現象...變化。1886年,赫茲設計了一種直線型開放振盪器留有間隙的環狀導線C作為...
物理簡介 物理現象 物理髮展 磁效應 物理理論和不連續調製)、空間矢量PWM技術、多電平變換器的各種PWM技術等。本書... 1.4 輸出電壓控制 11 1.4.1 伏特/赫茲準則 11... 空間矢量的概念 17 1.6.1 三相正弦波電源和負載的d-q-0...
圖書信息 內容簡介 圖書目錄