簡介
變形馬蒂厄方程(modified Mathieu equation),周期為純虛數的希爾方程。即
變形馬蒂厄方程
變形馬蒂厄方程作變換 ,即可化為馬蒂厄方程
變形馬蒂厄方程
變形馬蒂厄方程在橢圓柱坐標系
變形馬蒂厄方程
變形馬蒂厄方程
變形馬蒂厄方程中求解亥姆霍茲方程時,可得到變形馬蒂厄方程。
變形馬蒂厄函式
變形馬蒂厄函式(modified Mathieu function)是變形馬蒂厄方程的解的總稱。在馬蒂厄函式中以 iz 代替 z 即可得到變形馬蒂厄函式。特別是,對應於第一類馬蒂厄函式
變形馬蒂厄方程和第二類馬蒂厄函式
變形馬蒂厄方程有
變形馬蒂厄方程
變形馬蒂厄方程
變形馬蒂厄方程
變形馬蒂厄方程
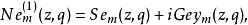
變形馬蒂厄方程分別稱為第一類和第二類變形馬蒂厄函式。把它們線性組合起來,還可以得到第三類變形馬蒂厄函式
變形馬蒂厄方程
變形馬蒂厄方程
變形馬蒂厄方程
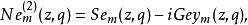
變形馬蒂厄方程另外還有
變形馬蒂厄方程
變形馬蒂厄方程
變形馬蒂厄方程
變形馬蒂厄方程也稱為第三類變形馬蒂厄函式。
馬蒂厄(法國數學家、物理學家)
馬蒂厄(Mathieu,Emile Leonard,1835—1890)法國數學家、物理學家。生於梅斯(Metz),卒於南錫(Nacy)。1859年畢業於巴黎綜合工科學校。1869年晉升為教授。早年從事置換群理論研究,畢業後轉向數學物理,擴展了一類偏微分方程的形式與解法。1868年引入橢圓坐標,同時給出相應的函式表達式,後人稱為“馬蒂厄函式”。他的主要論著均收入《數學物理文集》(7卷,1874—1890)中。

