基本介紹
西爾維斯特問題是涉及構造直線的組合幾何的難題,英國數學家西爾維斯特(J.J.Sylvester)晚年研究過這樣一個問題:在平面內找出不共線的n個點構成的點集S,使其中任意兩點的連線必過S中的不同於這兩點的第三點。經過反覆研究,他覺察到這是不可能的,但他不能給予證明,於是,他在1893年的《教育時代》雜誌中提出下面的猜想徵求解答:設S是平面有限點集,且過其中任意兩點的直線必過S中的其他一點,證明S的點共線。
西爾維斯特問題的解答
西爾維斯特問題提出後很長時間未獲得解決,40年後,1933年,伽萊(T.Gallai)發表了一個相當複雜的證明,證明了西爾維斯特猜想是正確的,1943年,匈牙利數學家愛爾特希(P.Erdös)在《美國數學月刊》上重提西爾維斯特問題,第二年,多倫多大學的羅伯特·斯坦伯格給出了一個簡單的初等證明,1948年,凱利(L.M.Kelly)發表了一個更精巧的證明,比斯坦伯格的還要簡捷,以至於美國的《科學新聞》在1979年重提西爾維斯特問題時,稱之為“可簡捷解答的難題”,這兩個人的證明還有一個重要的差別:斯坦伯格的證明雖然長了一些,但不必使用距離概念,只涉及順序,因而在理論上更有意義。
凱利的證明 假設這些具有西爾維斯特所述性質的點不共線,每條經過其中兩點的直線L和不在這條直線上的一個點p都組成一個線點對(L,p),在所有這些線點對中選取一個使得從p到L的距離d為最小的。令q為從p向L所引垂線的垂足。於是(變分)根據假設,在L上至少存在三個點a,b和c。因此其中兩個點,比方說a和b,將以a,b,q的順序位於q的同一側(c可在任何一側),如圖1,但這樣從b到直線ap的距離d'就小於d,這就產生了一個矛盾。
圖1凱利的證明確實簡短——但是,這裡有考克斯特(H.S.M.Coxeter)的說法:“這件關於共線性的事[西爾維斯特的問題]顯然屬於序幾何。[確實,在複數域或有限域上這個結果不成立!你可以輕易地在環面上發現一個九點的反例。]凱利的歐氏幾何式證明涉及外在的距離概念:這好比用一把長柄錘子去砸一個杏仁。”
西爾維斯特猜想的證實,等價於下面命題的正確性:設S是平面有限點集,且這些點不共線,則必有隻經過其中兩點的直線,這直線一般稱為點集S的平凡直線,由n個不共線的點構成的點集S中,所有的平凡直線的條數記為S(n),圍繞著S(n)尚未解決的問題有:
1.S(n)的最小值問題,即不共線n點集最少有多少條平凡直線?已知的結果是
| n | 3 | 4 | 5 | 6 | 7 | 8 | 9 | 10 | 11 | 12 | 13 | 14 | ||
| S(n)最小值 | 3 | 3 | 4 | 3 | 3 | 4 | 6 | 5 | 6 | 6 | 6 | 7 | ||
n≥15的S(n)尚不知曉。
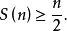
2.莫茨金-迪拉克猜想。1951年,莫茨金(T.Motzkin)和迪拉克(H.Dulac)各自獨立地做出下列猜想:對任何不共線的n點集,都有
西爾維斯特問題式中[n/2]表示不大於n/2的最大整數。
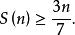
1958年,凱利與莫澤(W.O.Moser)合作證明了
西爾維斯特問題1981年,漢森(S.Hansen)證明了,除n=7,13外,都有
西爾維斯特問題這是一個長達96頁的證明,用了27個引理、41個輔助圖。

