定義
施工中擋土牆在外力作用下向後移動或轉動,擠壓填土,使土體向後位移,當擋土牆向後達到一定位移時(一般為牆高的0.1%~0.5%),牆后土體達到極限平衡狀態,此時作用在牆背上的土壓力叫被動土壓力。
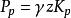
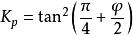
計算公式
1、無粘性土的被動土壓力
被動土壓力
被動土壓力
被動土壓力Kp——被動土壓力係數, ,其中 為無粘性土的內摩擦角。
2、粘性土的被動土壓力
被動土壓力
被動土壓力
被動土壓力Kp——被動土壓力係數, ,其中、c分別為粘性土的內摩擦角、粘聚力。
成因及特性
靜止土壓力產生的於擋土牆靜止不動時,填土作用於牆背的土壓力。但主動土壓力和被動土壓力的產生原因,是工程界至今尚未能完全解決的問題。一般認為,極限土壓力的發生條件與牆體位移、牆體結構形式、地基條件、填土種類、填土密實度等因素有關。
(詳見DL5077《水工建築物荷載設計規範》條文說明11.1。)
地基施工中,樁基(地基處理)施工後,應有一定的休止期,擠土時砂土、粘性土、飽和軟土分別不少於14d,21d,28d,以保證樁身強度和周邊土體的超孔隙水壓力的消散和被擾動土體強度的恢復。被動土壓力在最大到恢復成穩定體系之間的時間裡動作時間越久,動作幅度越小!當在"0"動作下,理論上認為被動土系穩定。
作用
鑒於水利水電工程中很少遇到擋土建築物向填土方向位移的情形,且被動土壓力一般對建築物有利,加之不易準確計算,因此,水工建築物設計一般不予考慮,而將它作為安全儲備。

