基本假設
庫侖土壓力理論是根據牆后土體處於極限平衡狀態時的力系平衡條件,並且形成一滑動體楔體時,從楔體的靜態平衡條件得出的土壓力計算理論。其基本假設是:1.牆後的填土是理想的散粒體(粘聚力c=0);2.滑動破壞面為一平面。
主動土壓力
庫侖土壓力理論一般擋土牆的運算屬於平面應變問題,均沿牆的長度取1m進行分析,如圖1a所示。當牆向前移動或轉動而使牆后土體沿一破壞面 破壞時,土楔ABC向下滑動而處於主動極限平衡狀態。此時,作用於土楔上的力有:
庫侖土壓力理論
庫侖土壓力理論
庫侖土壓力理論1.土楔體的自重 , 為填土的重度,只要破壞面 的位置一確定,G的大小就是已知值,其方向向下;
庫侖土壓力理論
庫侖土壓力理論
庫侖土壓力理論
庫侖土壓力理論2.破壞面 上的反力R,其大小是未知的。反力R與破壞面 的法線 之間的夾角等於土的內摩擦角φ,並位於 的下側;
庫侖土壓力理論
庫侖土壓力理論3.牆背對土楔體的反力E,與它大小相等、方向相反的作用力就是牆背上的土壓力。反力E的方向必與牆背的法線 成δ角,δ角為牆背與填土之間的摩擦角,稱為外摩擦角。當土楔體下滑時,牆對土楔體的阻力是向上的,故反力E必在 的下側。
土楔體在以上三力作用下處於靜力平衡狀態,因此必構成一閉合的力矢三角形(圖1b),按正弦定律可知:
E=Gsin(θ-φ)/sin(θ-φ+ψ)
式中ψ=90°-α-β,其餘符號如圖1所示。
土楔重:
庫侖土壓力理論在三角形ABC中,利用正弦定律可得
庫侖土壓力理論因為
庫侖土壓力理論故
庫侖土壓力理論
庫侖土壓力理論
庫侖土壓力理論
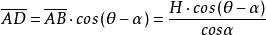
庫侖土壓力理論通過A點作 線的垂線 ,由 得
庫侖土壓力理論
庫侖土壓力理論
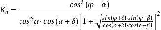
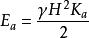
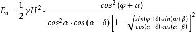
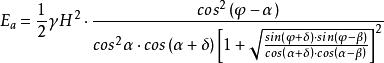
庫侖土壓力理論由於γ、H、α、β和φ、ψ都是已知的,而滑動面 與水平面的傾角θ則是任意假定的,因此,假定不同的滑動面可以得出一系列相應的土應力E值,也就是說,E是θ的函式。E的最大值 即為牆背的主動土應力。其所對應的滑動面即是土楔最危險的滑動面。為求主動土應力,可用微分學中求極值的方法求E的最大值,為此可令dE/dθ=0,從而解得使E為極大值時填土的破壞角θ,這就是真正的滑動面的傾角,將θ代入,整理後可得庫侖主動土壓力的一般表達式:
庫侖土壓力理論
庫侖土壓力理論
庫侖土壓力理論式中:K——庫侖主動土壓力係數,可以根據查表或計算得出。
H——擋土牆高度,m;
γ——牆後填土重度,kN/m ;
φ——牆後填土的內摩擦角,°;
α——牆背的傾斜角,°,傾斜時取正號,斜仰為負號;
β——牆後填土面的傾角,°;
δ——土對擋土牆背的摩擦角,查表確定。
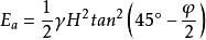
當牆背垂直、光滑、填土面水平時,庫侖主動土壓力表達式可寫為:
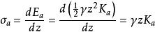
庫侖土壓力理論所以,主動土壓力強度沿牆高的平方成正比,為求得離牆頂為任意深度z處的主動土壓力強度σ,可將E對z取導數而得,即:
庫侖土壓力理論由上式可見,主動土壓力強度沿牆高成三角形分布(圖1c)。主動土壓力作用在離牆底H/3處,作用線方向與牆背法線的夾角為δ。必須注意,在圖1c中所示的土壓力強度分布圖中只表示大小,而不代表其作用方向。
圖1被動土壓力
庫侖土壓力理論
庫侖土壓力理論
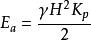
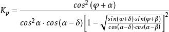
庫侖土壓力理論當牆受外力作用推向填土,直至土體沿某一破壞面破壞時,土楔ABC向上滑動,並處於被動極限平衡狀態(圖2a)。此時土楔ABC在其自重G和反力R和E的作用平衡下(圖2b),R和E的方向都分別在和面法線的上方。按上述求主動土壓力同樣的原理和求得被動土壓力的庫侖公式為:
庫侖土壓力理論
庫侖土壓力理論
庫侖土壓力理論式中K——庫侖被動土壓力係數。其餘符號同主動土壓力公式。
當牆背垂直、光滑、填土面水平時,庫侖被動土壓力表達式可寫為:
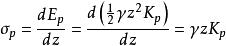
庫侖土壓力理論所以,被動土壓力強度沿牆高的平方成正比,為求得離牆頂為任意深度z處的主動土壓力強度σ,可將E對z取導數而得,即:
庫侖土壓力理論被動土壓力強度沿牆高也呈三角形分布,如圖2c所示,必須注意,土壓力強度分布圖中只表示大小,而不代表其作用方向。被動土壓力的作用點在距離牆底H/3處。

