基本信息
表觀耗氧量
biǎoguānhàoyǎngliàng
apparentoxygenutilization,AOU
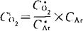
在相同條件下,實測氧濃度對於氧溶解度的偏離量。氧在海洋中的分布是生物消耗和由移流與混合帶給的物理補充的淨結果。研究已被消耗的氧而不是剩下的氧,可能有助於定量解釋上述過程。這樣即可消除由於各水團原先與大氣接觸時的條件不同所引起的氧分布上的差別。這種方法是利用單一非活性氣體作為估計起始氧含量的參考標準。氬(Ar)是氧的最好參考氣體,因為它們的溶解行為相似。引起氣體偏離溶解平衡的諸物理過程,對這兩種氣體的影響幾乎相同。因此,水樣的起始氧濃度可以從它的溫度、鹽度和實測氬濃度按下式(Benson,1965)計算:

水樣與大氣隔絕後的耗氧量由下式得出

式中,Co2是實測氧濃度。由於當時缺乏活性氣體的測定數據,雷德菲爾德採用“表觀耗氧量”(AOU)這一參數,即

將需氧量加上“表觀”兩條,就是承認海水在海表面並不總是與一標準大氣壓的大氣完全處於平衡,並且與溫度的非線性關係可能引起表現耗氧量偏離真實耗氧量。表層水的氧數據表明,在大部分海域,可能形成深層和中層水時,與偏差在百分之幾之內。但是在上升流海區,表層水氧濃度可低於飽和濃度多達20%。各種典型水樣混合引起的AOU值偏差較小。
