【詞語】: 萬能置換公式
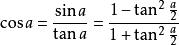
【釋義】:套用公式sinα=[2tan(α/2)]/{1+[tan(α/2)]^2}
cosα=[1-tan(α/2)^2]/{1+[tan(α/2)]^2}
tana=[2tan(a/2)]/{1-[tan(a/2)]^2}
萬能置換公式將sinα、cosα、tanα代換成tan(α/2)的式子,這種代換稱為萬能換。
【推導】:由二倍角公式
萬能置換公式
萬能置換公式
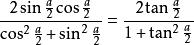
萬能置換公式sinα=2sin( )cos( )=
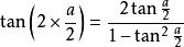
萬能置換公式tanα=
萬能置換公式
萬能置換公式【 注意】:角α(α≠2kπ+π,k∈Z)的所有三角比都可以用tan()表示。

