公式作用
萬能公式,可以把所有三角函式都化成只有tan(a/2)的多項式之類的。用了萬能公式之後,所有的三角函式都用tan(a/2)來表示,為方便起見可以用字母t來代替,這樣一個三角函式的式子成了一個含t的代數式,可以用代數的知識來解。萬能公式,架起了三角與代數間的橋樑。
具體作用含有以下4點:
將角統一為α/2;
將函式名稱統一為tan;
任意實數都可以表示為tan(α/2)的形式(除特殊),可以用正切函式換元;
在某些積分中,可以將含有三角函式的積分變為有理分式的積分。
1.將角統一為α/2;
2.將函式名稱統一為tan;
3.任意實數都可以表示為tan(α/2)的形式(除特殊),可以用正切函式換元;
4.在某些積分中,可以將含有三角函式的積分變為有理分式的積分。
總結:
因此,這組公式被稱為 以切表弦公式,簡稱 以切表弦。它們是由二倍角公式變形得到的。而被稱為 萬能公式的原因是利用的代換可以解決一些有關三角函式的積分。參見三角換元法。
三角萬能公式
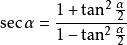
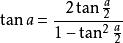
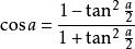
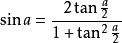
1.簡單的萬能公式
(以下公式很常用)
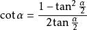
萬能公式[數學公式]
萬能公式[數學公式]
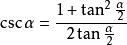
萬能公式[數學公式]2.稀有的萬能公式
(以下公式不常用)
萬能公式[數學公式]
萬能公式[數學公式]
萬能公式[數學公式]導函式公式
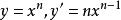
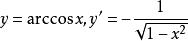
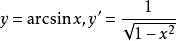
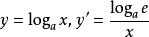
萬能公式[數學公式]1. (c為任意常數)
萬能公式[數學公式]2.
萬能公式[數學公式]3.
萬能公式[數學公式]4.
萬能公式[數學公式]5.
萬能公式[數學公式]6.
萬能公式[數學公式]7.
萬能公式[數學公式]8.
萬能公式[數學公式]9.
萬能公式[數學公式]10.
萬能公式[數學公式]11.
萬能公式[數學公式]12.
![萬能公式[數學公式] 萬能公式[數學公式]](/img/a/f8b/nBnauM3XyYDM2QzM1gzN2IDN0UTMyITNykTO0EDMwAjMwUzL4czLwIzLt92YucmbvRWdo5Cd0FmLzE2LvoDc0RHa.jpg)
