常用公式
公式一
三角函式誘導公式設α為任意角,終邊相同的角的同一三角函式的值相等: sin(2kπ+α)=sinα (k∈Z)
cos(2kπ+α)=cosα (k∈Z)
tan(2kπ+α)=tanα (k∈Z)
cot(2kπ+α)=cotα(k∈Z)
公式二
設α為任意角,π+α的三角函式值與α的三角函式值之間的關係:
sin(π+α)= -sinα
cos(π+α)=-cosα
tan(π+α)= tanα
cot(π+α)=cotα
公式三
任意角α與-α的三角函式值之間的關係(利用 原函式 奇偶性):
sin(-α)=-sinα
cos(-α)= cosα
tan(-α)=-tanα
cot (—α) =—cotα
公式四
利用公式二和公式三可以得到π-α與α的三角函式值之間的關係:
sin(π-α)= sinα
cos(π-α)=-cosα
tan(π-α)= - tanα
cot(π-α)=-cotα
公式五
利用公式一和公式三可以得到2π-α與α的三角函式值之間的關係:
sin(2π-α)= -sinα
cos(2π-α)= cosα
tan(2π-α)=-tanα
cot (2π-α)=-cotα
公式六
π/2±α與α的三角函式值之間的關係:
sin(π/2+α)=cosα
sin(π/2-α)=cosα
cos(π/2+α)=- sinα
cos(π/2-α)=sinα
tan(π/2+α)=-cotα
tan(π/2-α)=cotα
cot(π/2+α)=-tanα
cot(π/2-α)=tanα
推算公式
3π/2 ± α與α的三角函式值之間的關係:
sin(3π/2+α)=-cosα
sin(3π/2-α)=-cosα
cos(3π/2+α)=sinα
cos(3π/2-α)=-sinα
tan(3π/2+α)=-cotα
tan(3π/2-α)=cotα
cot(3π/2+α)=-tanα
cot(3π/2-α)=tanα
誘導公式記憶口訣:“ 奇變偶不變,符號看象限 ”。
三角函式誘導公式“奇、偶”指的是π/2的倍數的奇偶,“變與不變”指的是三角函式的名稱的變化:“變”是指正弦變餘弦,正切變餘切。(反之亦然成立)“符號看象限”的含義是:把角α看做銳角,不考慮α角所在象限,看n·(π/2)±α是第幾象限角,從而得到等式右邊是正號還是負號。以cos(π/2+α)=-sinα為例,等式左邊cos(π/2+α)中n=1,所以右邊符號為sinα,把α看成銳角,所以π/2<(π/2+α)<π,y=cosx在區間上小於零,所以右邊符號為負,所以右邊為-sinα。
符號判斷口訣:
全,S,T,C,正。這五個字口訣的意思就是說:第一象限內任何一個角的四種三角函式值都是“+”;第二象限內只有正弦是“+”,其餘全部是“-”;第三象限內只有正切是“+”,其餘全部是“-”;第四象限內只有餘弦是“+”,其餘全部是“-”。
也可以這樣理解:一、二、三、四指的角所在象限。全正、正弦、正切、餘弦指的是對應象限三角函式為正值的名稱。口訣中未提及的都是負值。
“ASTC”反Z。意即為“all(全部)”、“sin”、“tan”、“cos”按照將字母Z反過來寫所占的象限對應的三角函式為正值。
另一種口訣:正弦一二切一三,餘弦一四緊相連,言之為正。
推導過程
萬能公式推導
三角函式誘導公式,
三角函式誘導公式(因為 )
三角函式誘導公式
三角函式誘導公式再把分式上下同除,可得
三角函式誘導公式
三角函式誘導公式然後用代替即可。
同理可推導餘弦的萬能公式。正切的萬能公式可通過正弦比餘弦得到。
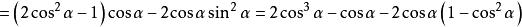
三倍角公式推導
三角函式誘導公式
三角函式誘導公式
三角函式誘導公式
三角函式誘導公式上下同除以,得:
三角函式誘導公式
三角函式誘導公式另
三角函式誘導公式
三角函式誘導公式
三角函式誘導公式
三角函式誘導公式
三角函式誘導公式
三角函式誘導公式
三角函式誘導公式即
三角函式誘導公式
三角函式誘導公式和差化積公式推導
首先,我們知道sin(a+b)=sinacosb+cosasinb,sin(a-b)=sinacosb-cosasinb,
我們把兩式相加就得到sin(a+b)+sin(a-b)=2sinacosb,
同理,若把兩式相減,就得到cosasinb=[sin(a+b)-sin(a-b)]/2,
同樣地,我們還知道cos(a+b)=cosacosb-sinasinb,cos(a-b)=cosacosb+sinasinb,
所以,把兩式相加,我們就可以得到cos(a+b)+cos(a-b)=2cosacosb,
同理,兩式相減我們就得到sinasinb=-[cos(a+b)-cos(a-b)]/2,
這樣,我們就得到了積化和差的公式:
cosasinb=[sin(a+b)-sin(a-b)]/2,
sinasinb=-[cos(a+b)-cos(a-b)]/2。
好,有了積化和差的四個公式以後,我們只需一個變形,就可以得到和差化積的四個公式
我們把上述四個公式中的a+b設為x,a-b設為y,那么a=(x+y)/2,b=(x-y)/2
把a,b分別用x,y表示就可以得到和差化積的四個公式:
sinx+siny=2sin[(x+y)/2]cos[(x-y)/2]
sinx-siny=2cos[(x+y)/2]sin[(x-y)/2]
cosx+cosy=2cos[(x+y)/2]cos[(x-y)/2]
cosx-cosy=-2sin[(x+y)/2]sin[(x-y)/2]
同角三角函式的基本關係式
倒數關係
tanα ·cotα=1
sinα ·cscα=1
cosα ·secα=1
商的關係
sinα/cosα=tanα=secα/cscα
cosα/sinα=cotα=cscα/secα
平方關係
sin^2(α)+cos^2(α)=1
1+tan^2(α)=sec^2(α)
1+cot^2(α)=csc^2(α)
同角三角函式關係六角形記憶法
構造以“上弦、中切、下割;左正、右余、中間1”的正六邊形為模型。
倒數關係
對角線上兩個函式互為倒數;
商數關係
六邊形任意一頂點上的函式值等於與它相鄰的兩個頂點上函式值的乘積。(主要是兩條虛線兩端的三角函式值的乘積,下面4個也存在這種關係。)由此,可得商數關係式。
平方關係
在帶有陰影線的三角形中,上面兩個頂點上的三角函式值的平方和等於下面頂點上的三角函式值的平方。
兩角和差公式
sin(α + β)=sinαcosβ + cosαsinβ
sin(α - β)=sinαcosβ - cosαsinβ
cos(α + β)=cosαcosβ - sinαsinβ
cos(α - β)=cosαcosβ + sinαsinβ
tan(α + β)=(tanα + tanβ )/(1 - tanαtanβ)
tan(α - β)=(tanα - tanβ)/(1 + tanαtanβ)
二倍角的正弦、餘弦和正切公式
sin2α=2sinαcosα
cos2α=cos(α) - sin(α)=2cos(α) - 1=1 - 2sin(α)
tan2α=2tanα/[1 - tan(α)]
tan[(1/2)α]=(sin α)/(1 + cos α)=(1 - cos α)/sin α
半角的正弦、餘弦和正切公式
sin(α/2)=(1 - cosα)/2
cos(α/2)=(1 + cosα)/2
tan(α/2)=(1 - cosα)/(1 + cosα)
tan(α/2)=(1 - cosα)/sinα=sinα/(1 + cosα)
萬能公式
sinα=2tan(α/2)/[1 + tan(α/2)]
cosα=[1 - tan(α/2)]/[1+tan(α/2)]
tanα=[2tan(α/2)]/[1 - tan(α/2)]
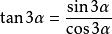
三倍角的正弦、餘弦和正切公式
sin3α=3sinα - 4sin(α)
cos3α=4cos(α) - 3cosα
tan3α=[3tanα - tan(α)]/[1 - 3tan(α)]
三角函式的和差化積公式
sinα + sinβ=2sin[(α + β)/2]cos[(α - β)/2]
sinα - sinβ=2cos[(α + β)/2]sin[(α - β)/2]
cosα + cosβ=2cos[(α + β)/2]cos[(α - β)/2]
cosα - cosβ=-2sin[(α + β)/2]sin[(α - β)/2]
三角函式的積化和差公式
sinα · cosβ=[sin(α + β) + sin(α - β)]/2
cosα · sinβ=[sin(α + β) - sin(α - β)]/2
cosα · cosβ=[cos(α + β) + cos(α - β)]/2
sinα · sinβ= - [cos(α + β) - cos(α - β)]/2

