定義
自由指標,在每一項中只出現一次,一個公式中必須相同 。
性質
在表達式或方程中自由指標可以出現多次,但不得在同項內重複出現兩次 。
套用
自由指標
自由指標式子可以簡單的表示為,其中, i為自由指標, j為啞指標。特別區分,自由指標在同一項中最多出現1次,表示許多方程寫成一個方程;而啞指標 j則在同項中可出現2次,表示遍歷求和。在表達式或者方程中自由指標可以出現多次,但不得在同項內出現兩次。

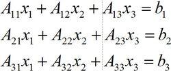
自由指標 和啞指標 相對而言,可以把多個方程縮寫成一個方程;啞指標可以把多項式縮寫成一項。(左圖中 i 為自由指標)
自由指標,在每一項中只出現一次,一個公式中必須相同 。
在表達式或方程中自由指標可以出現多次,但不得在同項內重複出現兩次 。
自由指標
自由指標式子可以簡單的表示為,其中, i為自由指標, j為啞指標。特別區分,自由指標在同一項中最多出現1次,表示許多方程寫成一個方程;而啞指標 j則在同項中可出現2次,表示遍歷求和。在表達式或者方程中自由指標可以出現多次,但不得在同項內出現兩次。
矢量和張量分析中,啞指標和愛因斯坦求和約定聯繫在一起。矢量分析中,在一個單項式內,同時出現且僅出現兩次的指標為啞指標。對這種指標應當進行遍歷求和。啞指標...
定義 愛因斯坦求和約定粒子物理學突破,2004年諾貝爾物理學獎. 漸進自由-之意為膠子如橡皮筋般拉住夸克,夸克之間距離愈近就愈自由,而一旦離遠則被橡皮筋般的膠子拉回,故而膠子...
契約自由原則是指契約主體在進行契約活動時意志獨立、自由和行為自主,即契約主體在從事契約活動時,以自己的真實身份來充分表達自己的意願,根據自己的意願來設立...
原則簡介 選擇自由 契約含義 權力自由 契約意義ADR指標又叫漲跌比率指標或上升下降比指標,其英文全稱是“Advance Decline Ratio”。和ADL指標一樣,是專門研究股票指數走勢的中長期...
原理 計算方法 取值範圍 買賣決策 曲線的配合自由現金流(Free Cash Flow)是作為一種企業價值評估的新概念、理論、方法和體系,最早是由美國西北大學拉巴波特、哈佛大學詹森等學者於20世紀8...
定義 理解 延伸 分類 計算生物的分布及其繁殖狀況,通常是與生物所在地的氣候條件和土壤條件等所有環境條件有著密切關係。反過來說,也可以根據生物的分布和生育狀態,來判斷某個地區的環境...
概念 特點 優缺點 運用與意義投資價值(IV)是將當期經營活動的現金流量扣除投資活動所需資金和資本成本後的資本收益。
計算公式 優點 建立原則 公司價值評價財務風險指標是基於廣義的財務活動,從動態和長遠的角度出發,設定敏感性財務指標並觀察其變化,對企業潛在的或將要面臨的財務危機進行監測預報的財務分析方法。它...
設計原則 局限性 完善建議動力指標(英文縮寫MTM)是證券市場中技術分析常用的參考指標。也是是眾多的趨向類指標中比較簡單和容易理解的一種。 在一個具有自由機能的市場中,價格受制於...
買賣信號 計算方式 其它形態