定義
啞指標矢量分析中,在表達式的某一單項式之中出現且僅出現2次的下標,稱為啞指標。
相對地,在某一多項式中出現次數不為2的下標,稱為自由指標。
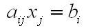
例如,在右圖中的表達式,j 為啞指標,在三維問題中,其變化範圍為1,2,3。
而 i 雖然出現了2次,但並不處於同一個多項式內,是自由指標。
在張量分析中的定義是:一個單項式內,在上標(向量指標)和下標(余向量指標)中各出現且僅出現1次的指標稱為啞指標。
愛因斯坦求和約定
啞指標啞指標定義了一種運算法則,即按照愛因斯坦求和約定,當啞指標出現時,必須把該項在該指標的取值範圍內遍歷求和。
啞指標例如,在三維空間中,對於向量
和
而言,
啞指標實際上代表
啞指標而自由指標則代表,在該指標所可遍歷的範圍內,等式均成立。例如,三維直角坐標系中,
啞指標實際上代表
啞指標或
啞指標