基本概念
定義
如果偏微分方程中,未知函式及它的所有偏導數都是線性的,且方程中的係數都僅依賴於自變數(或者是常數),那么這樣的 偏微分方程就稱為 線性偏微分方程,特別的,如果方程中的係數都是常數,則稱為 常係數偏微分方程。顯然,如果方程中的係數是自變數的函式,則稱為 變係數偏微分方程。方程中出現未知函式及偏導數不是線性的,則稱為 非 線性偏微分方程。
偏微分方程
線性偏微分方程
線性偏微分方程未知函式具有多個自變數,含有這種未知函式的一個或多個偏導數的微分方程稱為 偏 微分方程。如自變數只有一個就成為 常微分方程。如方程不止一個,就稱為 偏微分方 程組。 就是一個典型的偏微分方程。 就是一個典型的常微分方程。
基本性質
引入線性偏微分運算元
線性偏微分方程則線性偏微分方程可簡寫為
線性偏微分方程線性偏微分方程有以下性質:
線性偏微分方程
線性偏微分方程
線性偏微分方程
線性偏微分方程1)如 ,則 。如 .則 (c是常數)。
線性偏微分方程
線性偏微分方程
線性偏微分方程
線性偏微分方程
線性偏微分方程2)如 是齊次方程 的通解,v是非齊次方程 的特解,則 是非齊次方程 的通解。
線性偏微分方程
線性偏微分方程
線性偏微分方程
線性偏微分方程
線性偏微分方程3)如 是 的特解,則 ( 是常數)是 的解。
線性偏微分方程
線性偏微分方程
線性偏微分方程
線性偏微分方程
線性偏微分方程
線性偏微分方程
線性偏微分方程
線性偏微分方程4)如 是 的解,則 是的解。其中 是參變數, 是任意函式。如 ,則 (c是常數)。
二階線性偏微分方程
線性偏微分方程許多物理學、力學和工程技術問題所引出的偏微分方程都是二階偏微分方程。目前對於二階偏微分方程研究相對成熟些。對於有雙自變數 的未知函式的二階線性偏微分方程,可以寫成如下形式
線性偏微分方程
線性偏微分方程
線性偏微分方程
線性偏微分方程
線性偏微分方程式中,係數 都是 的函式,且 不同時為零,假設函式 及其係數都是二次連續可微的。
通過坐標變換能夠把上述方程在某一點化成標準形式,根據
線性偏微分方程為正、為零或為負而定的條件,偏微分方程在這點稱為是雙曲型、拋物型或橢圓型的。
如果該偏微分方程在一個區域內的任意點均為雙曲型的、拋物型的或橢圓型的,那么就稱該偏微分方程在這區域內是雙曲型、拋物型或橢圓型的。對於兩個自變數的偏微分方程,在一給定的區域內總可以找到函式變換將已知方程化成標準形式,但是,就多個自變數的偏微分方程來說,這樣的變換一般是較難找到。
經典線性偏微分方程
由於二階偏微分方程,具有廣泛的實際意義和數學處理上的簡單易理解。這裡僅給出二階線性偏微分方程的一些例子。
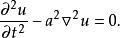
波動方程
線性偏微分方程或
線性偏微分方程
線性偏微分方程
線性偏微分方程
線性偏微分方程
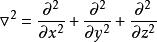
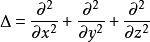
線性偏微分方程式中: 為拉普拉斯運算元(或 ; 為哈密爾頓運算元); 為常數。這個方程描述了波的傳播(或擾動)。它可以描述很多物理問題,例如,弦的振動,薄膜的振動,桿和梁的縱向彈性振動,水的淺表波動,聲學以及電信號在電纜中的傳輸等問題。
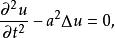
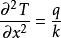
熱擴散方程
線性偏微分方程式中:K為導熱係數。上述方程描述了某種量子的流動,例如,熱或一團基本粒子的流動,在生物學中 也被用作描述生長和擴散的過程,特別是腫瘤的生長。這個熱擴散方程還可以描述在Stocks和Rayleigh問題中的非穩定附面層流動以及由旋渦面產生的旋渦擴散。
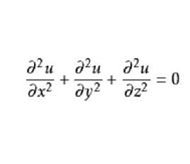
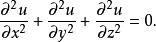
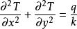
拉普拉斯方程
線性偏微分方程此方程用於描述無源靜電場的電位,引力場,彈性薄膜的平衡位移,不可壓縮流體的速度場,穩態熱傳導問題的溫度分布和其它諸多物學現象。
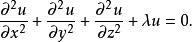
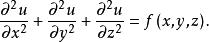
泊松方程
線性偏微分方程
線性偏微分方程式中 為一個描述場源或場漏的給定函式。這是非齊次的拉普拉斯方程。泊松方程表示有源或有漏的情況下拉普拉斯方程描述的物學現象。
Helmholtz方程
線性偏微分方程
線性偏微分方程
線性偏微分方程式中: 為常數。此方程就是與時間獨立的波動方程加了一個參數 。在聲學問題中,它的解代表了一種聲音的輻射場。

