內涵界定
關於泡沫經濟的定義,目前理論界存有多種說法,除了許多學者都把“經濟泡沫”與“泡沫經濟”的概念等同使用以外,有些說法極易與通貨膨脹、商業循環、虛擬經濟等概念混淆。因此,對泡沫經濟的內涵進行界定是十分必要的。
1.泡沫經濟的定義。經濟泡沫與泡沫經濟是兩個不同的概念,前者反映的是“局部”的經濟現象;後者反映的是“全局”的經濟現象,不可混為一談。
前面提到的泡沫經濟被有的學者定義為:“由於價格信號的作用最終使資源失配而存在大量泡沫的經濟”。我們認為,這一定義有三點不足:(1)給人的印象似乎是“價格信號的作用”是泡沫經濟的罪魁禍首;(2)給人的印象似乎是局部的經濟泡沫變大了、變多了就是泡沫經濟,沒有揭示出使局部的經濟泡沫演變成全局的泡沫經濟的主要誘因;(3)沒有揭示出引起資源失配的真正原因。
我們認為,所謂泡沫經濟是指由虛假需求形成的局部經濟泡沫通過一定的傳導機制使社會有效需求得到過度刺激而形成的虛假繁榮現象,在這種傳導機制中,金融管理當局寬鬆的貨幣政策是局部的經濟泡沫向全局的泡沫經濟演變的主要誘因。對於這一定義可以這樣理解:(1)引發泡沫經濟的原因是局部的經濟泡沫,局部經濟泡沫的存在在於虛假的市場需求,正是由於虛假需求通過價格信號的作用才造成資源失配,因此虛假需求是泡沫經濟的罪魁禍首;(2)局部存在經濟泡沫或者經濟泡沫變大、變多不一定意味著整個國家處於泡沫經濟之中,從經濟泡沫向泡沫經濟的演變需要一定的傳導機制,在這種傳導機制中,如果沒有金融管理當局貨幣政策的失誤,局部經濟泡沫是不會引發全局泡沫經濟的;(3)泡沫經濟從本質上講是一種虛假的經濟繁榮現象,說它是虛假經濟繁榮現象的原因就在於泡沫經濟時期的社會有效需求得到了過度刺激,也就是社會有效需求中存在大量虛假的成分,這樣的繁榮是不實在的,遲早會破滅。
理論概述
經濟泡沫“泡沫”一詞是人們對經濟經過一段時間的迅速繁榮,然後又急劇下滑,最後像肥皂泡一樣破滅這一興衰過程的生動描繪。但學術界對於“泡沫”含義的理解卻存在分歧。
1978年美國經濟學家C.Kindleberger認為:“泡沫狀態這個名詞,隨便一點說,就是一種或一系列資產在一個連續過程中陡然漲價,開始的價格上升會使人們產生還要漲價的預期,於是又吸引了新的買主——這些人一般只想通過買賣牟取利潤,隨著漲價,常常是預期的逆轉,接著就是價格暴跌,最後以金融危機告終或者以繁榮的消退告終而不發生危機。”該定義強調了泡沫是一個由資產價格從持續上漲到價格暴跌的過程,而且強調了預期在這個過程中特別是價格逆轉過程中的重要作用。
斯蒂格里茨(JosephE.Stiglitz,1990)也認為,當投資者預期未來某種資產能以高於他們期望的價格出售時,這種資產的現實價格將上升,從而出現泡沫。持有此觀點的還有1992年版的《新帕爾格雷夫貨幣與金融大詞典》:在市場經濟中,如果一種或一系列資產價格出現了突然上升,並且這種上升使人們產生出對這種(些)資產的遠期價格繼續上升的預期和持續的購買行為,那么這些資產就會出現泡沫行為。
日本學者則普遍認為,泡沫是資產價格相對於經濟基礎條件背離的膨脹過程。三木谷良一(1998)認為,所謂泡沫經濟就是資產價格(具體指股票和不動產價格)嚴重偏離實體經濟(生產、流通、僱傭、增長率等)的暴漲,然後暴跌這一過程;鈴木淑夫也認為,經濟學所說的泡沫是指地價、物價等資產的價格持續出現無法用基礎條件來解釋的猛烈的上漲或下跌。1993年度日本經濟自書》指出,所謂泡沫,一般而言就是資產價格大幅度偏離經濟基礎(經濟的基本要素)而上升。日本學者的理解有以下共同點,一是將泡沫同經濟基本要素聯繫起來,強調泡沫是資產價格相對經濟基礎的偏離;二是泡沫的變化經歷了一個資產價格由上漲到暴跌的過程。
中國學者在國外學者研究的基礎上,主要從泡沫資產價格偏離經濟基礎角度來理解泡沫的經濟含義。
王子明從理性預期和非均衡分析的角度,認為泡沫是一種經濟失衡現象,將泡沫定義為某種價格水平相對於經濟基礎條件決定的理論價格(一般均衡穩定狀態價格)的非平穩性向上偏移(王子明,2002)。陳國力和黃名坤博士都持有這種觀點。其中黃名坤博士把實體經濟和虛擬經濟聯繫起來,對基本價值進行了進一步闡述,認為資產的基本價值來源於實體經濟,是實體經濟體系達到最優動態均衡時的價格(等於資本邊際產出率)(黃明坤,2002)。對許多日本和歐美學者強調泡沫是資產價格從急劇上升到迅速下跌的過程,即經濟存在價格上升(膨脹性)泡沫,Well。Philippe1990年對價格下降的泡沫進行了專門研究,並從理論上證明了股票市場上下降類型的泡沫是可能存在的。王子明、黃名坤等中國學者也認為經濟中既存在膨脹性泡沫也存在漏損性泡沫,即這種泡沫的出現是由於理論價格下降造成的,而市場價格沒有大的變化,甚至下降,只是下降的幅度小於理論價格的下降幅度,從而造成了市場價格高於理論價格的幅度在增大。
泡沫經濟:泡沫經濟是指一個經濟中的一種或一系列資產出現了比較嚴重的價格泡沫,並且泡沫資產總量已經占到巨觀經濟總量的相當大的比重,而且泡沫資產還和經濟的各個部門發生了直接或間接性的聯繫,並且一旦泡沫破裂,將給經濟的運行帶來困境,或者引發金融危機,或者引發經濟危機。只有這樣特徵的國民經濟,稱之為泡沫經濟。
原理特徵
形成機理
學術界主要從市場主體是完全理性還是有限理性以及泡沫產生的巨觀原因和微觀機制兩個角度來探討泡沫的形成機理。就第一種思路而言,自2O世紀8O年代理性泡沫概念提出以來,經濟學家們試圖用市場主體的完全理性來解釋經濟泡沫現象。迪巴和戈羅斯曼(Dibaand Grossman,1988)從局部均衡角度出發,認為如果資產能夠自由出售,其價格不可能為負,這意味著不可能存在負的確定性泡沫;布蘭查德和費希爾(BlanchardandFisher。1998)認為對於自由出售、供給無限彈性、具有可替代性的資產,不可能出現正的確定性泡沫,否則資產價格將趨於無限,最終超過替代品的價格。
從一般均衡角度來看,梯若爾(Tirole,1982,1990)和布諾克(Brock,1982)證實了:實質資產是否會產生泡沫與投資者的生存期限相關,當個人投資者是有限期界時,與經濟是否處於動態有效相關。在有限期界和投資者數量有限的情況下,不會出現泡沫;在無限期界和投資者有限時,也不可能出現泡沫。對於隨機性泡沫,維爾(Weil,1987)認為若經濟在泡沫尚未出現時充分動態無效,爆炸性泡沫有可能在一般均衡中存在。儘管理性經濟泡沫擁有好的分析框架,但其缺陷是人們難以區分是出現泡沫還是基礎定價模型不妥,而且理性經濟泡沫對現實現象的解釋也缺乏力度。
因為從所發生的泡沫案例來看,投資者並非總是理性的,某些泡沫現象卻正是由市場主體的非理性行為所致。噪聲交易理論則是在這種情況下應運而生。試圖在放鬆理性預期和有效市場假設的前提下,解釋泡沫的成因。布萊克(Black,1986)認為噪聲交易是在沒有掌握內部信息的情況下,將自己獲得的信息作為精確信息來對待,並據此做出非理性的交易行為。因此噪聲交易者對市場價格的判斷可能出現系統偏差,做出過激的反應或遵從正反饋交易策略,進而為市場提供了自強化機制。從而導致了泡沫的出現。德隆等(DeLong,Shleifer。SummersandWaldmann,1990)開創性地建立了噪聲交易理論。他們的理論基於兩個基本假設,一是部分投資者是有限理性的;二是套利行為存在風險,套利交易的作用存在限制。這意味著套利行為不能完全消除噪聲交易的影響,噪聲交易者可能從自身創造的風險中獲利從而為自身的生存創造空間,其長期存在還可能異化其套利行為。因此,德隆等認為儘管長期內套利交易者可能會促使資產價格回歸至基礎價值,但是至少在短期內,他們助長了泡沫的形成和膨脹。
成因
分析泡沫成因的另一路徑是分析泡沫形成的巨觀和微觀機制。林傑瑞恩等(1996)的一項研究表明,在1980—1995年間國際貨幣基金組織的181個成員國中的135個國家都在不同階段經歷過金融領域的嚴重困難,其中大約半數以上的國家在遭遇金融危機前都有過泡沫經濟的經歷,特別是房地產泡沫的困擾。同時認為金融自由化,降低了資本流動的交易成本,使得國際巨額投機資本頻繁遊蕩,造成許多國家特別是新興市場國家價格的動盪和加速了經濟泡沫的形成,並強調金融自由化為經濟泡沫的產生提供了制度基礎。
許多日本學者(如宮崎義一、奧村洋彥等)認為巨觀經濟政策的不合理安排是導致日本泡沫經濟的基礎,也是泡沫破裂的導火索,因為不當的經濟政策強化了市場投機及誤導了投資者的預期。
從投資行為的微觀機理來看,有些學者認為蓬齊對策(Ponzi Games)是導致資產泡沫的重要原因。這是因為,資產市場的債務人奉行蓬齊對策,即依靠新債務來維持流動性,而不是依靠經營收入流,從而導致“金融連鎖性”(FinanceChainLetter)遊戲的發生,產生了資產泡沫;有些學者認為風險轉移、道德危害與信貸擴張是泡沫產生的重要原因。在信貸投資的情況下,一方面如果投資失敗,投資者將不能償還借款,但可以通過破產等手段將資產的投資風險轉移到銀行等機構;另一方面,如果投資成功,則可獲得可觀的收益,因而投資者有追逐資產價格的傾向和抬高資產價格的動機,從而導致泡沫的產生。AllenFranklinandDouglasGale(2000)研究了銀行體系中因代理問題而引起的泡沫。其主要結論是投資者使用銀行貸款投資風險資產,可以以違約的形式避免損失,轉移風險,從而導致資產價格攀升。同時他還認為信貸擴張程度的不確定性也容易引發泡沫,從而將包括商業銀行、中央銀行在內的銀行體系與泡沫的產生聯繫在一起。
股票、外匯及房地產等資產市場的正反饋交易現象泡沫迅速膨脹的重要原因。安德里森和克勞斯(AndreassenandKraus,1988)通過實驗模擬了正反饋現象,反映了人們有跟風投資(ChasetheTrade)的傾向;弗蘭克爾和弗魯特(FrankelandFroot,1988)以及希勒(Shiller,1988)的市場調查發現投資者決策時存在外推預期。正反饋交易不僅在短期記憶體在,甚至可能長期存在。狄龍、謝勒弗、薩默爾以及瓦德曼(Delong,Shleifer,SummerandWaldman)通過他們建立的正反饋交易模型,發現理性投資者利用正反饋交易獲利,推動了價格上升和泡沫的形成,而且即使是理性投資者也會相信價格在短期內延續過去的變動趨勢而長期內回歸到平均價格,他們還發現正反饋投資者和理性投資者都有可能對信息反應過度,從而使得價格上升的幅度超過了信息所能證明的合理範圍。一些學者用羊群行為理論來解釋資產市場上的過度波動、時尚和泡沫現象。
特性
泡沫的產生需要一定的附著物,經濟泡沫也不例外,它的產生同樣需要附著物,這個附著物用學術術語來說就是載體。從以上的討論可知,只要市場機制發生作用的地方,就有可能存在經濟泡沫。誰能想像荷蘭的“鬱金香的球莖”能成為大家炒作的對象。因此,經濟泡沫的載體具有普遍性,既可以存在於實物經濟中,也可以存在於虛擬經濟中。既然經濟泡沫的載體具有普遍性,原因主要有以下幾點:
第一,一般商品、股票和房地產的需求特性不同。社會對商品和服務的需求可以分為兩類:真實需求和投機需求。真實需求是指為了自身的消費和再生產而形成的需求。而投機需求則是為了在買賣之中牟取利潤而形成的需求。由於投機需求相對於真實需求來說具有交易成本低、不穩定和占用時間和資金少等特點,因此投機需求很容易攪起經濟泡沫。在一般商品和房地產市場上,當市場上存在虛假需求時,一般商品和房地產的市場價格必然高於其內在價值,這時就會產生正的經濟泡沫。由於虛假需求最低為零,因此,一般商品和房地產市場上不會存在負的經濟泡沫。儘管在“不會存在負的經濟泡沫”這一點上,房地產市場與一般商品市場相同,但由於人們購買房地產的需求有時是投機需求,這使得房地產市場較一般商品市場容易產生泡沫。股票市場更具有特殊性,人們購買股票的需求絕大多數是投機需求,因此股票市場更容易產生經濟泡沫,而且這種泡沫可正可負。投機需求取決於對未來價格的預期,預期往往具有同向性,即看漲時大家都看漲,看跌時大家都看跌,這使得投機需求具有明顯的放縮效應。投機需求的放縮效應更加劇了股票和房地產市場的泡沫化程度。 第二,一般商品、股票和房地產的供給特性不同。不同資產的內在價值決定方法不同。一般商品和房地產的內在價值取決於由真實需求和供給決定的均衡價格水平;而股票是一種虛擬資本,它具有獨特的內在價值決定方法。股票虛擬資本的內在價值等於一個按無風險資產的現實收益率計算而得到的相應預期收益的“幻想資本額”,即預期收益按無風險資產的現實收益率的折現值。股票的這種內在價值決定方法注定其內在價值是難以捉摸的。不僅股票如此,在市場經濟制度下,即使是一般商品和房地產,由真實需求和供給決定的內在價值也是多變的。內在價值難以確定或具有多變性是產生經濟泡沫的條件之一。但由於一般商品的供給易變且供給彈性較大,因此在一般商品市場上即使產生了經濟泡沫,這種經濟泡沫也難以維持下去。股票和房地產市場就不同了,股票和房地產的供給在一定時期內固定不變且缺乏彈性,這使得股票和房地產市場上的經濟泡沫在較長時期內能夠得以維持。特徵
(一)泡沫經濟主要是指虛擬資本過度增長
所謂虛擬資本,是指以有價證券的形式存在,並能給持有者帶來一定收入的資本,如股票、企業或國家發行的債券等。正如馬克思所說:“有價證券自身沒有任何價值,它們只是代表取得收益的權利。”(《馬克思恩格斯全集》第25卷第532頁)一切有價證券都是資本所有權的證書,它不是真正的資本,而是“資本的紙制複本”(同上書第540頁)它只是間接地反映實際資本的運動狀況。有價證券可以在證券市場上進行買賣,形成市場價格、股票價格同股息成正比。同利息率成反比,還受到巨觀經濟形勢和政府政策等多重影響,所以,虛擬資本有相當大的經濟泡沫,虛擬資本的過度增長和相關交易持續膨脹,與實際資本脫離越來越遠,形成泡沫經濟,最終股票價格暴跌,導致泡沫破滅、造成社會經濟震盪。
(二)地價飛漲,也是泡沫經濟的一種表現
土地價格的形成具有二重性:一是作為原始土地——自然資源,它本身不是勞動創造的,沒有價值。從這個角度講,土地價格是地租的資本化,很大程度上是作為土地資源的稀缺性和市場需求的無限性拉動所決定;二是作為加工過的土地(俗稱熟地),又有人類勞動的凝結,固而具有價值,由這部分價值決定的土地價格部分,是土地價值的反映。前一種土地價格,由於直接由土地稀缺性和市場需求拉動,在市場交易中呈現出不規則的運動狀態,其價格是代表取得收益(地租)的權利價格,因而也含有較多的經濟泡沫。如果地價飛漲,脫離土地實際價值越來越遠,便會形成泡沫經濟,一旦泡沫破滅,地價暴跌,給社會經濟帶來巨大危害。
(三)泡沫經濟寓於金融投機
正常情況下,資金的運動應當反映實體資本和實業部門的運動狀況。只要金融存在,金融投機就必然存在。但如果金融投機交易過度膨脹,同實體資本和實業部門的成長脫離越來越遠,便會造成社會經濟的虛假繁榮,形成泡沫經濟。
(四)泡沫經濟與經濟泡沫既有區別,又有一定聯繫
經濟泡沫是市場經濟中普遍存在的一種經濟現象。所謂經濟泡沫是指經濟成長過程中出現的一些非實體經濟因素,如金融證券、債券、地價和金融投機交易等,只要控制在適度的範圍中;對活躍市場經濟有利。只有當經濟泡沫過多,過度膨脹,嚴重脫離實體資本和實業發展需要的時候,才會演變成虛假繁榮的泡沫經濟。可見,泡沫經濟是個貶義詞,而經濟泡沫則屬中性範疇。所以,不能把經濟泡沫與泡沫經濟簡單的劃等號,即既要承認經濟泡沫存在的客觀必然性,又要防止經濟泡沫過度膨脹演變成泡沫經濟。
泡沫檢驗
經濟泡沫間接檢驗的基本思路是把市場價格中可以用未來各期資產收益的理性預期貼現值來解釋的內容作為零假設,如果檢驗結果拒絕零假設,就可以認為經濟存在泡沫。希勒(Shiller,1979,1981)、萊羅依和波特(LeRoyandPoter,1981)分別獨立提出超常易變性檢驗即方差界檢驗或稱希勒檢驗。該檢驗的前提是理性預期、完全有效市場和不要求充分假定信息集,假定事後價格圓強實際價格加上一個理性預測誤差序列,假定事後價格和實際價格的方差存在,在這些條件下必然存在事後價格的方差大於實際價格的方差;如果情況相反,則說明否定了有效市場假設,即可判定市場存在泡沫。然而希勒等人的實證結果往往是後者,也就是發現市場中較多的資產存在理性泡沫。然而學術界卻對希勒檢驗的合理性提出了質疑。其一是質疑希勒檢驗中關於方差和方差不等式的存在性問題。馬什和莫頓(MarshandMerton。1986)認為如果沒有平穩性,事後價格和實際價格無條件方差就不存在,也就無所謂方差不等式。同時他們還證明即使股票價格是預期未來股息的貼現值,樣本方差也能違反希勒方差不等式;其二是對受檢驗的聯合假設的懷疑。這些假設是:
(一)風險中性的個人可以按不變的實際利率借貸套利;
(二)個人有理性預期;
(三)不存在理性泡沫。
然而檢驗不能對這些假設的拒絕進行區分,而且拒絕假設可能是因為套利的失敗或時尚等因素的影響而不是因為理性泡沫的存在。因此對假設的拒絕說明不了什麼。
布蘭查德和沃森(1982)、嗍曼基、羅默和夏皮羅(1985)、坎貝爾和希勒(1987)、191維斯特(1987)以及中國學者周愛民(1998,1999)分別提出了新一代的間接檢驗方法。Il嘎l-l其實證結果顯示出了同樣多的資產價格易變性,不同的是他們對假設的拒絕沒有希勒檢驗那么強烈。
直接檢驗則是利用實際經濟的運行數據,直接檢驗特定形式的理性泡沫的顯著性,並據此判斷經濟是否存在該形式的理性泡沫。其思想是明確地分析一個具體的泡沫過程,並直接檢驗泡沫解的有效性。由於泡沫解的多重性,故直接檢驗所有的理性泡沫是不可能的。學者們只對兩種理性泡沫進行了直接檢驗:
一種是確定性理性泡沫(Deterministic Rational Bubbles)。對此進行開創性研究的是弗盧德和嘉伯(Floodand Garber,1980)。他們通過卡甘模型,分析了1920—1923年德國的惡性通貨膨脹。認為當預期的市場價格的變化率是當前價格的一個主要決定因子時,市場可能存在著一個確定性泡沫。然而在假定德國通貨膨脹時期人們具有理性預期的條件下。實證結果卻沒有發現經濟計量分析證據來支持這種確定性價格水平泡沫的存在。出於這種結果,布蘭查德(1989)是這樣解釋的,在惡性通貨膨脹時期,由於資產的基礎價格非常難以確定,因此,發現泡沫的存在也是非常困難的。
經濟泡沫股票持有者預期自己通過持有該股票能獲得更高的投資收益,交易商正是看重了這一點,抬高價格,當來購買的人逐漸增多時,該股的泡沫出現了。這種現象出現的根源來自於“信息”,信息的真實性是導致泡沫出現並破碎的一方面,另一反面則是企業運營情況的真實性。如此現象僅是純粹的商業炒作,一旦信息公布,泡沫破碎,驚道之一系列的經濟問題出現。
案例分析
經濟泡沫的本質是資產泡沫。
資產泡沫是資產價格在投機資本推動下的超值上漲。所謂“超值”,就是“資產增量ΔA”超出“淨投資增量ΔNi”部分的異常增值。資產價格可分為“有形資產價格”和“金融資產價格”。有形資產價格如房地產價格或固定資產價格;金融資產價格如股票、期貨、債券價格等。經濟泡沫與固定資產價格的上漲有同步的傾向。經濟泡沫的崩潰,是資產價格在達到“臨界質量”後的突然暴跌。經濟泡沫(或資產泡沫)的崩潰總會有一個“引爆事件”——如日本1990年股市大跌、或2008年“雷曼兄弟公司”倒閉等——成為起爆器。
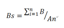
經濟泡沫Bs=(∑_(i=1)^n▒B)⁄An資產泡沫(流量)率Ba計算公式:
Ba=(∆A-Ni)⁄A
經濟泡沫
日本淨投資與經濟泡沫存量1990年前後的日本,是經濟泡沫崩潰的典型。
戰後日本的“經濟高速增長”,將財富裝進日本國民口袋的同時,也積澱了大量從實體經濟投資中游離出來的“投機資本(熱錢)”。在資產保值和追求更高利潤的原始衝動驅使下,投機資本會迅速向各種可能更快盈利的投機方向——房地產、固定資產、古董、字畫、文物、珠寶等領域騰挪。1990年經濟泡沫崩潰前,日本出現過三次較大的資產泡沫膨脹:1978~1981年(泡沫約437.2萬億日元)、1985~1987年(約726.9萬億日元)和1989~1990年間(約538.8萬億日元),使得當時整個日本的房地產價格提高了近兩倍;日本的股票價格上漲了約三倍。同期,不僅是房地產和其他不動產,幾乎所有可投機商品的價格都有不菲的上漲。奢侈和炫耀風靡日本,越來越好的收入增長預期使人們的指尖對現金的感覺越來越麻木。人們不再吝嗇,一根上好的牙籤就可以賣到100萬日元。直到1993年日本泡沫經濟崩潰已經進入第四年,日本的消費勢頭才開始放緩。經濟泡沫崩潰後,在1991~2005年間,日本的資產泡沫有一個長達近15年期的泡沫萎縮期,此間資產泡沫整體大約萎縮了1528.1萬億日元(約13.9萬億美元)。那些最後進入賭局的人幾乎傾家蕩產,因為買下銀座的一棟大樓而最終倒閉的公司比比皆是,非金融企業因金融投機失手而倒閉者不再成為新聞。經濟泡沫存量,與一個國家的投機資本總量等值。就是說,經濟泡沫存量相當於同期“投機資本”的總體規模。一個國家的資產泡沫有多大,投機資本就有多大。投機資本增加的每一分錢,都是實體經濟的等量失血。因此,可以說資產泡沫的膨脹規模,也是實體經濟投資的萎縮規模。日本淨投資與經濟泡沫存量(1975~2010年,10億日元)
統計數據來源: 《日本統計年鑑》日本總務省出版。
日本從上世紀70年代末開始,資產泡沫不斷膨脹。日本銀行業對房地產業的貸款餘額由1985年的約17萬億日元,增加到1991年的約43萬億日元,增加了1.5倍。由此,東京、大阪、名古屋等六大城市經濟圈的商業用地價格指數1985年比1980年上升了53%,1990年比1980年上升了525%;同期日本全國平均土地的平均價格上漲了1倍以上。熱錢湧入股市,也使東京交易所的股指從約10000點,攀升到36000點以上,金融資產的泡沫膨脹也就毋庸贅言。日本經濟泡沫崩潰的起點,是日本股市在1989年12月31日達到頂點後的崩盤,股市價格暴跌,使整個日本社會對不動產價格的繼續上漲的信心,發生了根本的動搖。房地產價格也隨之從1990年開始下跌。不僅是房地產和其他不動產,幾乎所有投機資本爭相進入後價格上漲的領域,跌價大潮吞沒了幾乎過去幾十年中所有的“暴利”。股市和不動產價格的大跌所造成的資產貶值,使日本國內和全世界曾經在對日投資中獲利匪淺的外國投資者,徹底失去了信心,國際投機資本紛紛逃離日本。東京黃金地段泡沫時期被高價買下的土地,沒有再聳起高樓大廈,卻變成了一個個的停車場。投資開始失去方向。資本開始“相當過剩(投資實體經濟的資本在國內出現過剩)”。日本非金融企業一直存在資金缺口,從上世紀七十年代到1989年日本金融泡沫崩潰前,該缺口越來越大:從1970年的-6.6萬億日元,增加到1975年的-11.7萬億、1980年的-12.6萬億日元。特別是1985年以後,該缺口擴大為1987年的-23.2萬億、和1990年的-47.7萬億日元。
而同期,日本又出現三次資本相對過剩的高潮,第一次在1982~1986年間,資本相當過剩的規模累計達約15萬億日元;第二次是1990~1992年間累計約11萬億日元;第三次是1996年以後約累計10萬億日元,1998年猛增到32.5萬億日元。1990年日本經濟泡沫崩潰後,非金融企業的資金需求銳減,從1991年的-43.0萬億,減少到1994年的僅-0.3萬億,並從1996年開始再次出現資金剩餘:1996年剩餘0.3萬億、1998年猛增到32.5萬億,差不多相當於1989年金融泡沫崩潰前同企業資金缺口的總量。三次資本的相對過剩高峰,擠壓著日本國內的資本紛紛轉投金融投機領域,或被敦促資本等多地流向海外,成為“絕對過剩資本(流向海外的資本)”。日本的國內資本加速了向海外的投資和轉移,帶來了此後日本國內投資的“持續20年”實體經濟的萎靡和“產業空洞化”。
日本經濟泡沫崩潰過程的特徵:1,資產泡沫(存量)的規模龐大,為1989年日本GDP的5倍;2,金融泡沫與固定資產泡沫並存;3,泡沫崩潰後雖發生了嚴重的金融危機,許多老牌金融機構(如住友銀行、北海道拓殖銀行等)被重組,金融界內部震盪如驚濤駭浪,但經濟泡沫的坍塌並沒有引起全社會的“恐慌”,因此也就沒有發生“恐慌性需求萎縮”導致的經濟危機;4,經濟泡沫崩潰後,資產泡沫的萎縮(金融資產價格、不動產價格同時萎縮),是一個相對平緩的過程,整個經濟泡沫的萎縮整整經歷了近15年的時間(1990-2004年),因此沒有產生對國民經濟的崩潰性衝擊。然而,日本經濟自1989年以來20多年的持續萎縮,並非經濟泡沫崩潰所致。經歷泡沫崩潰的國民經濟,本身應當是一個巨觀經濟結構調整的大好機會,撣掉身上的泥土才好輕裝上陣。而結果卻恰恰相反:泡沫崩潰後的日本經濟有如一潭平靜的湖水,正在被慢慢地曬乾。投資是經濟成長之母。只有過剩的資本,沒有過剩的投資。日本經濟萎靡的根源,是日本政府推行的所謂“刺激內需(如發放《消費券》)”等本末倒置的經濟政策的結果。這些政策使日本的淨投資水平從1990年的15.8%一路跌到2008年的1.9%。從2009年日本開始出現了淨投資的負增長——2009年-49481億日元;2010年-114740億日元。
美國經濟泡沫:金融投資型
美國淨投資與資產泡沫增量美國1989年~2008年的資產泡沫存量約23.2萬億美元。2008年的資產泡沫(存量)率Bs為46.8%,高於目前中國該比率的水平,但卻大大低於日本1989年泡沫經濟崩潰前Bs273%的超高水平。這也許可以證明,2008年金融風暴並非因美國房地產泡沫所致。
2008年金融風暴前美國的人均泡沫壓力80427美元,為2008年美國人均GDP49893美元的1.61倍。如果以該數值為標準,目前中國的人均泡沫壓力的水平已經遠遠超過了美國2008年時的水平。不動產泡沫決定於投機資本向不動產板塊的進出量及其速度。除了以不動產價格上漲水平為標誌外,主要看進出市場的投機資本的規模、進入速度、房地產泡沫崩潰後投機資本的撤出速度等。衡量是否存在不動產泡沫的標準,要看有否存在以投機營利為目的的不動產炒作風潮、及熱錢對房地產市場價格的影響度。或者說,那些購買房地產不是為了自己使用,而是為了倒賣盈利或資產保值的購買力有多大,房地產泡沫的規模就有多大。所以,克魯格曼“房產泡沫是由次貸支撐起來的:一些買房人並不具備通常的借款條件,但卻得到了抵押貸款。(《美國怎么了?一個自由主義者的良知》(THECONSCIENCEOFALIBERAL)保羅∙克魯格曼著,中信出版社2008年版Ⅷ”)的判斷,只是看到了事情的表面或冰山一角。因為堆砌“兩房”債務的購房者並非不動產投機家,他們買房不是為了炒賣,而是那些連自己住房的按揭都支付不起的低收入者,他們不可能成為房地產泡沫的始作俑者,於是美國房地產泡沫也就無從談起。2008年全球金融風暴,是1929年大蕭條以來的一次典型的經濟危機。它的起因是金融危機後社會恐慌帶來的“恐慌性需求萎縮”。金融危機如果僅限於金融界內部,就不會演變為經濟危機,1989年的日本股市崩盤、2000年美國納斯達克股價暴跌、和2007年的中國股票大跌,都是沒有引發經濟危機的單純金融危機的證明。1990年泡沫崩潰後,日本的收入增長23.5萬億日元,消費增加10.6萬億日元;1991年收入增加減少到14.5萬億日元,而消費反而增加了6.7萬億日元;到1992年收入再減少到4.4萬億日元,而消費還是又增加了6.5萬億日元。民間消費沒有隨收入的減少而收縮,這就是沒有發生“恐慌性需求萎縮”的證明。
早在2007年10月美國股市市值從14.9萬億美元開始下跌,到2009年2月底跌到谷底的7.5萬億美元,下跌了52.5%。而衍生品市場卻早在此前三個月的2007年7月,早於股市三個月就開始出現大量金融投機資本撤離的跡象。只是衍生品市場80%以上的交易都是在金融機構的交易專家之間進行,社會大眾並不能像對股市行情那樣,可以對規模遠大於股市和美國GDP水平(2007年北美市場未平倉價值約16萬億美元)的金融衍生品市場的劇烈波動有那么機敏的觸覺。然而終歸“紙里包不住火”,2008年9月15日“雷曼兄弟”——美國最大的投資銀行轟然倒下時,與其說該公司的巨額債務造成的感官衝擊,倒不如說由於“看不清”這些金融龐然大物為什麼會在一瞬間土崩瓦解所帶來的“詫異”和“迷茫”,更容易綁架整個社會陷入“恐慌”。“恐慌性需求萎縮”終於開始出現。美國2008年恐慌性消費需求萎縮總量約-9,070億美元,相當於2007年國民收入GDP11.6萬億美元的-7.8%。與之相應,美國儲蓄率從2008年第四季度的1.2%,迅速提高到2009年第三季度的5.4%,此後直到2011年第一季度這個水平一直維持在大約5.7%。只要將危機框限於金融界,就不會有2008年全球金融風暴。因此,在“兩房壞賬”顯現之初,金融界首腦和政治家所表現出的擔憂和驚恐,反而會加重民眾的警覺和疑慮、加速危機到來時的規模。此後即便再發出任何寬慰人心的忠告,都已無法擋住經濟危機的洪流。所以,在金融危機已經爆發後,對抗經濟危機的首要任務不是“刺激消費”,而是“避免和弱化恐慌”。美國淨投資與資產泡沫增量(1989~2011年,10億美元)
美國1929年大危機前,1922-1929年的資產泡沫存量約2199億美元,當時的人均經濟泡沫存量1787美元,是1929年當時美國人均GDP838美元(當年價格)的2.1倍。
美國經濟泡沫的特徵:1,美國經濟泡沫的核心是“金融泡沫”,房地產泡沫只是一個陪襯;2,由於不動產泡沫的規模相對較小,所以顯得美國經濟泡沫的整體規模不如日本1989年前後那么龐大;3,金融泡沫的背後牽墜著美國許多人的不動資產,因此金融泡沫的風吹草動也就顯得異常凝重;4,2008年金融風暴過後,美國的資產泡沫並沒有大規模的萎縮,許多投機資本隨後又很快重返金融投機市場。
中國經濟泡沫:不動產泡沫型
中國固定資產價格指數與資產泡沫增量20世紀90年代初,股票在中國的登場和瘋狂交易,開始讓中國人覺得也抓到了那條可以“一夜暴富”的韁繩。深圳特區發行原始股時擠破頭的盛況,讓經歷者至今難以忘懷。然而,股市幾起幾落之後,上海股指早在美國2008年全球金融風暴到來之前,就完成了從6124點到1624點的歷史性大跌,以致歐美國家還有學者甚至誤將中國股市大跌,作為全球金融風暴的源頭。
2007年以後中國再無回天之力的股價,冰冷了中國投機民眾的心,中國投機市場中金融泡沫的比重也就每況日下。無奈之下,中國人又回到了“黃金比紙幣靠譜”的東方人感覺的原點;投機“總比銀行利息高”的心理、怎么也比開工廠賺錢輕鬆的預期,塑造出一個個“炒房團”,翡翠熱、寶石熱、古董熱、淘寶熱也就不難理解。於是,股市無利可圖之後,中國的投機資本主要湧向房地產市場,導致目前中國經濟泡沫的核心還是房地產泡沫。中國固定資產價格指數波動與資產泡沫增量(1989~2010年,億RMB,%)統計數據來源: 《中國統計年鑑》中國國家統計局出版。
中國淨投資與資產泡沫增量中國淨投資與資產泡沫增量(1980~2011年,億RMB)統計數據來源:《中國統計年鑑》中國國家統計局出版。
中國淨資產存量與資產泡沫存量中國的資產泡沫(存量)率Bs約22.3%,與已開發國家相比還屬於較低水平。遠低於1989年泡沫經濟崩潰時日本資產泡沫(存量)率Bs的273%,大約僅相當於當時日本該比率的1/9。同時,該泡沫率是2008年金融風暴前美國資產泡沫率Bs46.8%的大約一半。因此,危險度還不能說到了崩潰的邊緣。
中國淨資產存量&資產泡沫存量(1990~2011年,億RMB)統計數據來源:《中國統計年鑑》中國國家統計局出版。
日本淨投資與資產泡沫存量中國改革開放30年來經濟快速增長的來源,是淨投資源源不斷、經久不衰的持續增長。沒有這種高達40%以上的高積累,一切GDP和經濟的增長都是空中樓閣。隨著經濟發展和國力的增強,一個國家的剩餘資本會增加,於是投機資本也會相應增大;同時,隨著固定資產的老化,折舊在總投資中的比重會不斷增大。固定資產的規模越大、折舊率越高,折舊的總體規模也會越來越大。於是,如果總投資出現萎縮或“被萎縮”,則這個國家的淨投資就會以更快的速度減少,如同1993年以後的日本和2001年以後的美國陷入今天經濟萎靡不振的根源。
人均泡沫承受力與經濟實力呈正比。即經濟實力越強,社會對經濟泡沫壓力的承受力越大。按照目前中國GDP50.5萬億人民幣、人口13.5億、2013年中國的城鎮人口5億、城鎮比全國人均GDP高30%、中國城鎮人均GDP約4.8萬人民幣(7700美元/人)、經濟泡沫存量145.6萬億人民幣計算,中國的城鎮人均經濟泡沫存量約29萬人民幣/城鎮∙人(約4.6萬美元/城鎮•人),相當於1989年經濟泡沫崩潰時日本人均泡沫規模的40%。日本淨投資與資產泡沫存量(1976~2010年,10億日元)統計數據來源:《日本統計年鑑》日本總務省出版。
美國淨資產存量與資產泡沫存量因此,如果根據經濟泡沫承受力——(人均泡沫存量/人均GDP)進行比較,日本1989年的人均經濟泡沫存量1541萬日元/人(11.4萬美元/人),為當時日本人均GDP24568美元的4.6倍。也就是說,日本人均泡沫承受力的臨界極限,約為人均GDP的4.5~5倍。以此為基準(經濟泡沫崩潰的臨界係數4.5~5.0倍)衡量,中國的人均經濟泡沫壓力29萬人民幣/城鎮∙人,已經是中國城鎮人均GDP4.7萬人民幣的6.2倍,大大超過了經濟泡沫崩潰時日本人均泡沫與人均GDP比值4.5~5.0倍的臨界質量。
國家間的國情不同,經濟發展水平各異,故經濟泡沫增量、存量的變化對泡沫崩潰臨界質量(ΔB)v的支撐也會不盡相同。因此,已開發國家(如日本)經濟泡沫崩潰的臨界質量的大小、及其與淨資產存量和總收入水平(GDP)的比率,對觀測和評價中國的經濟泡沫只能是一個參考。但是,有一點可以肯定:經濟快速增長期間,雖然資產規模的增大會使資產泡沫的規模顯得相對變小,但卻不會使經濟泡沫免於崩潰。美國淨資產存量&資產泡沫存量(1989~2010年,10億美元)統計數據來源: 《現代アメリカデータ総覧》(StatisticalabstractoftheUnitedStates;現代美國數據總覽)アメリカ合衆國商務省(美國商務部)編,(株)柊風舎譯中國經濟泡沫的主要特徵:
就資產泡沫崩潰的臨界質量而言,資產泡沫(存量)率Bs的水平還較低;泡沫的增長速度低於淨投資和資產增長速度;資產泡沫各年增量一般還在同期淨投資規模以下;資產泡沫還沒有出現過較大規模的“減量(萎縮)”;政府財政赤字消費對資產泡沫有推波助瀾的作用;貨幣流通增量過大會使資產泡沫等量增大。經濟(資產)泡沫的危害
資產泡沫的迅速增大會加重民眾對資產價格繼續上漲的擔心、憂慮,漲價預期會推起和加速下一輪資產價格的異常上漲;
資產價格迅速升溫會使經濟泡沫的增速加快,從而使經濟泡沫在常量不變的表象之下,增值速度所決定的“質量”所積蓄的能量迅速增大,對泡沫破潰推波助瀾;資產價格上漲會助長“投機”心理,加速資本向“投機市場”的騰挪,使實體經濟投資進一步受累;資產泡沫一旦崩潰會極大地打擊中國國內的投資信心,使投資者的心理陰影和投資環境的惡化捲入惡性循環;經濟泡沫的崩潰如果引起整個社會的“恐慌”,一旦誘發“恐慌性需求萎縮”就會引爆經濟危機;(參見《經濟危機新論》筆者著,北京三聯出版社,2013年版)經濟(資產)泡沫,在沒有崩潰(“破”)之前也是泡沫。經濟泡沫不可能被經濟成長“消化”,泡沫存量會持續在經濟機體中始終存在下去,就像減肥前人體內多餘的脂肪。當然,經濟成長會使國家整體經濟規模不斷擴大,只要當前的資產泡沫存量整體規模不再繼續增大,就會顯得相對變小,其危險性也會隨之下降。就像一個人的身高體重增加之後,原來等量的多餘脂肪就會顯得相對少了,其危害程度也會減小。經濟泡沫只有在下一輪資產泡沫萎縮(價格下跌)中才能得到釋放。
利弊分析
在現代市場經濟。經濟泡沫之所以會長期存在,是有它的客觀原因的,主要是由其作用的二重性所決定的。
一方面,經濟泡沫的存在有利於資本集中促進競爭活躍市場,繁榮經濟。例如證券市場的存在,可以通過發行股票、債券等金融工具,籌集資金;擴大企業的資本金,從而進行擴大再生產,促進經濟發展;同時,股份公司的發展,對推動國有企業改革提高資本運行效率,也有顯著的作用。再如,在土地市場上,地價的形成,土地使用權有償出讓,可以集中資金進行城市基礎設施建設,提高土地資源的利用率,還可以促進房地產業的發展,拉動經濟成長。而金融證券交易和土地交易,又可以活躍經濟;促進競爭。通過優勝劣汰,合理配置社會資源,提高資源配置效率。所以,適度的經濟泡沫,是必要的,也是有利的。否則,我們就不能理解證券市場、土地市場等存在的理由。另一方面,也應清醒地看到,經濟泡沫中的不實因素和投機因素,又存在著消極成分。如證券市場的投機因素,股票價格的漲跌波動幅度過大,同實際資本的脫離越來越嚴重,其虛假成分會越來越多,給國民經濟發展帶來不利影響,造成社會動盪;同時,股票價格的暴漲暴跌,還會帶來股民資產的損失,甚至造成兩極分化。再如,土地市場交易中,炒買炒賣的投機性操作,如果超過一定幅度,也會引起地價暴漲。房地產價格,特別是住宅價格上漲過快,由此擾亂房地產市場秩序,嚴重影響居民的居住生活質量。所以,也應當承認經濟泡沫有其消極的、不利的一面。但從總體上看,適度的經濟泡沫利大於弊。辯證地看待經濟泡沫的利弊得失,其意義在於,既要充分利用經濟泡沫的積極方面,來活躍經濟,促進經濟成長;同時,又要抑制經濟泡沫的消極方面,避免其過度膨脹形成泡沫經濟,造成虛假繁榮,給社會經濟發展帶來危害。專家建議
有內地業界人士透露,內地商業銀行在業績考核的壓力下,2009年3月份和6月份均在季度末大量貸款以便「沖規模」。而這些現象已經引起監管部門的高度關注,並開始採取措施予以控制。
吳曉波認為,「泡沫預期已經成為現實」,中國經濟現在已經處於通貨膨脹的通道裡面。他建議,未來20年中國的經濟改革應遵循「先易後難」原則,首先在分稅制、銀行體系、土地流轉制度三方面進行改革。

