概述
在等待制隨機服務系統中,每個呼叫的等待時間是不一樣的。等待時間的統計特性作為系統的服務質量指標有:
等待時間
等待時間呼叫等待時間r大於任意指定值t的機率分布P(r>t);呼叫需要等待的機率P(r>0);流入呼叫的平均等待時間;被遲延呼叫的平均等待時間;平均等待呼叫數1。
數學模型
系統的服務質量指標與話務量強度、設備數量、呼叫流特性及服務時長的統計特性有關。在工程中,主要用有關的數學模型來計算呼叫的等待時間及其機率分布;
用愛爾蘭全利用度等待系統計算按等待制工作的話路設備;用克羅米林全利用度等待系統計算按等待制工作的控制設備;用克萊因羅克模型計算信息交換網的等待時間。
(1)愛爾蘭全利用度等待系統
系統的輸入過程是平均到達率為λ的泊松分布形式的呼叫流。進入系統的呼叫,能夠占用線束中任意一條空閒線(或設備)。呼叫占用設備的時長,服從平均時長為1/μ的指數分布。如果呼叫到達時,系統中n個設備都處在忙狀態,則呼叫排隊等待,直到有空閒設備為其服務。而且系統按“先來到先服務”的原則為等待呼叫提供服務。該等待系統模型如圖所示。該橫型常用符號M/M/n表示,第一個字母M代表泊松輸入過程,第二個字母M代表指數分布的服務時長,第三個字母n代表服務設備數(系統容量)。
圖1 愛爾蘭全利用度等待系統模型關於愛爾蘭全利用度等待系統,已給出計算系統狀態機率分布和呼叫等待時間機率分布的公式,其中包括著名的第二愛爾蘭公式(愛爾蘭公式C)。而且還給出計算呼叫的平均等待時長以及平均排隊長度等系統特性的公式。
(2)克羅米林全利用度等待系統
由CD克羅米林提出的、輸入過程為泊松呼叫流、占用時長(或服務時長)為常數的全利用度等待系統,可用符號M/D/N表示。第一個字母M代表泊松呼叫流的輸入過程,第二個字母D代表占用時長為常數分布,第三個字母N代表系統的服務設備數。l932年,CD克羅米林發表了這個等待系統的研究成果。
呼叫到達系統時,如果系統中有空閒的設備,即可占用(占用時長為給定的一常數)。如果系統中沒有空閒設備,呼叫需排隊等待,直到有空閒設備為其服務。而且系統按呼叫到達的先後次序,順序地為呼叫提供服務。
(3)克萊因羅克模型
模型規定,網中任意兩節點j與k之間的通信只有一個路由。節點之間由兩條單向的鏈路連線,由j至k的鏈路,記作(J,k);由k至j的鏈路則記作(k,j)。
圖中以一個三節點信息網為例,說明克萊因羅克模型的計算方法。
圖2 三節點網
等待時間假設輸入的是泊松呼叫流。節點j用戶呼叫節點k的符號平均到達率(平均發生強度)為。用戶送至通信網的全部符號到達強度
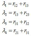
等待時間令λi為鏈路i上的符號平均到達率,它的值完全由相關的rjk和規定的路由所決定。何如,對於圖中的網路有
等待時間若符號長度服從平均值為1/μ(比特/符號)的指數分布.每個符號從一個節點向另一個節點傳送時,都將按照指數分布,以1/μ的平均值賦予新的符號長度。雖然這個假設不完全符合信息交換網的實際情況,但它卻簡化了理論計算,使該模型更容易套用於實際工程設計。這是克萊因羅克模型的一個主要特點。
