簡介
積分的計算要比導數的計算靈活、複雜,為了實用的方便,往往把常用的積分公式匯集成表,這種表叫作積分表。求積分時,可根據被積函式的類型,在積分表內查得其結果,有時還要經過簡單變形才能在表內查得所需的結果 。
內容分類
積分表被分為以下幾個部分 :
•有理函式積分表
•無理函式積分表
•三角函式積分表
•指數函式積分表
•對數函式積分表
•反三角函式積分表
•雙曲函式積分表
•反雙曲函式積分表
具體內容
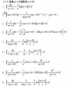
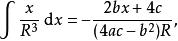
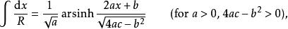
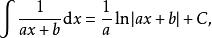
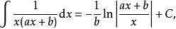
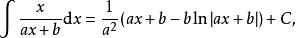
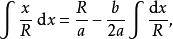
積分表(1)含有 的積分 :
積分表
積分表
積分表
積分表
積分表
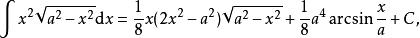
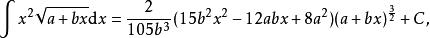
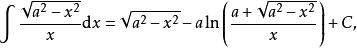
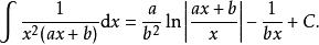
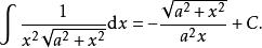
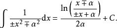
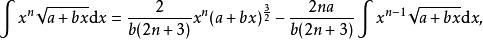
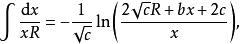
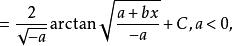
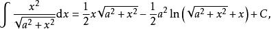
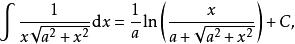
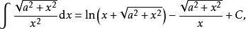
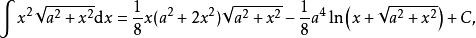
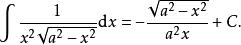
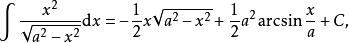
積分表(2)含有 的積分 :
積分表
積分表
積分表
積分表
積分表
積分表
積分表
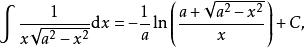
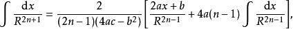
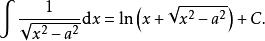
積分表(3)含有 的積分 :
積分表
積分表
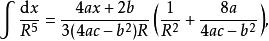
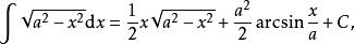
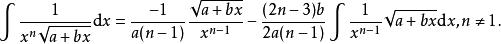
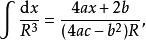
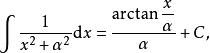
積分表(4)含有 的積分 :
積分表
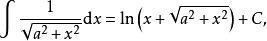
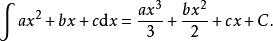
積分表(5)含有 的積分 :
積分表
積分表(6)含有 的積分 :
積分表
積分表
積分表
積分表
積分表
積分表
積分表
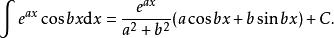
積分表(7)含有 的積分 :
積分表
積分表(8)含有 的積分 :
積分表
積分表
積分表
積分表
積分表
積分表
積分表
積分表(9)含有 的積分 :
積分表
積分表
積分表
積分表
積分表
積分表
積分表
積分表
積分表
積分表
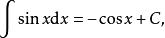
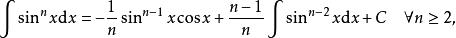
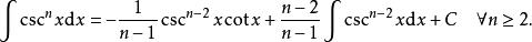
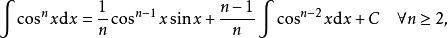
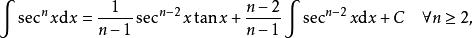
積分表(10)含有三角函式的積分 :
積分表
積分表
積分表
積分表
積分表
積分表
積分表
積分表
積分表
積分表
積分表
積分表
積分表
積分表
積分表
積分表
積分表
積分表
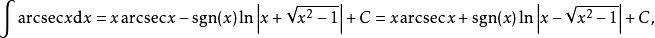
積分表(11)含有反三角函式的積分 :
積分表
積分表
積分表
積分表
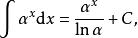
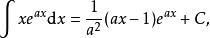
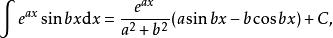
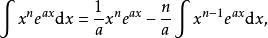
積分表(12)含有指數函式的積分 :
積分表
積分表
積分表
積分表
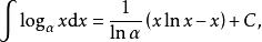
積分表(13)含有對數函式的積分 :
積分表
積分表
積分表
積分表(14)含有雙曲函式的積分 :
積分表
積分表
積分表
積分表
積分表
