恆星簡介
白矮星(White Dwarf,也稱為簡併矮星)是一種低光度、高密度、高溫度的恆星。因為它的顏色呈白色、體積比較矮小,因此被命名為白矮星。白矮星是演化到末期的恆星,主要由碳構成,外部覆蓋一層氫氣與氦氣。白矮星在億萬年的時間裡逐漸冷卻、變暗,它體積小,亮度低,但密度高,質量大。1982年出版的白矮星星表表明,銀河系中已被發現的白矮星有488顆,它們都是離太陽不遠的近距天體。根據觀測資料統計,大約有 3%的恆星是白矮星,但理論分析與推算認為,白矮星應占全部恆星的10%左右。
形成過程
中低質量的恆星在渡過生命期的主序星階段,結束以氫聚變反 應之後。將在核心進行氦聚變,將氦燃燒成碳和氧的三氦聚變過程,並膨脹成為一顆紅巨星。
當紅巨星的外部區域迅速膨脹時,氦核受反作用力卻強烈向內收縮,被壓縮的物質不斷變熱,最終核心溫度將超過一億度,於是氦開始聚變成碳。經過幾百萬年,氦核燃燒殆盡,恆星的結構組成已經不那么簡單了:外殼仍然是以氫為主的混合物,而在它下面有一個氦層,氦層內部還埋有一個碳球。核反應過程變得更加複雜,中心附近的溫度繼續上升,最終使碳轉變為其他元素。與此同時,紅巨星外部開始發生不穩定的脈動振盪:恆星半徑時而變大,時而又縮小,穩定的主星序恆星變為極不穩定的巨大火球,火球內部的核反應也越來越趨於不穩定,忽而強烈,忽而微弱。此時的恆星內部核心實際上密度已經增大到每立方厘米十噸左右,我們可以說,此時,在紅巨星內部,已經誕生了一顆白矮星。當恆星的不穩定狀態達到極限後,紅巨星會進行爆發,把核心以外的物質都拋離恆星本體,物質向外擴散成為星雲,殘留下來的核心就是我們能看到的白矮星。所以白矮星通常都由碳和氧組成。但也有可能核心的溫度可以達到燃燒碳卻仍不足以燃燒氖的溫度,這時就能形成核心由氧、氖和鎂組成的白矮星。偶爾有些由氦組成的白矮星,不過這是由聯星的質量損失造成的。
白矮星的內部不再有物質進行核聚變反應,因此恆星不再有能量產生。這時它也不再由核聚變的熱來抵抗重力崩潰,而是由極端高密度的物質產生的電子簡併壓力來支撐。物理學上,對一顆沒有自轉的白矮星,電子簡併壓力能夠支撐的最大質量是1.4倍太陽質量,也就是錢德拉塞卡極限。許多碳氧白矮星的質量都接近這個極限的質量,有時經由伴星的質量傳遞,白矮星可能經由碳引爆過程爆炸成為一顆Ia超新星。
白矮星形成時的溫度非常高,但是因為沒有能量的來源。因此將會逐漸釋放它的熱量並解逐漸變冷 (溫度降低),這意味著它的輻射會從最初的高色溫隨著時間逐漸減小並且轉變成紅色。經過漫長的時間,白矮星的溫度將冷卻到光度不再能被看見,而成為冷的黑矮星。但是,現在的宇宙仍然太年輕 (大約137億歲),即使是最年老的白矮星依然輻射出數千K的溫度,還不可能有黑矮星的存在。
結晶核體
天文學讓我們了解到宇宙中發生的奇異事件,其所蘊含的物理解釋卻讓人難以想像,最近科學家發現白矮星的內部可能出現神奇的“結晶”核體。
大多數的恆星核心通過氫核聚變進行燃燒,將質量轉變為能量,並產生光和熱量,當恆星內部氫燃料完成消耗完後就開始進行氦融合反應,並形成更重的碳和氧,這一過程對於類似我們太陽這樣的恆星而言,就顯得較為短暫,並形成碳氧組成的白矮星,如果其質量大於1.4倍太陽質量,就會發生Ia型超新星爆發。
麥克唐納天文台的2.1米望遠鏡對GD 518白矮星的觀測發現,其表面溫度達到12,000度,是太陽的兩倍左右,質量為太陽的1.2倍,根據恆星演化模型,其主要成分為氧和氖。通過對GD 518白矮星亮度的變化判斷,實際上它正在進行“脈衝”式的膨脹和收縮,這意味著其內部存在不穩定性,科學家預測其內部已經出現了結晶或者凝固現象,形成一定半徑的“小結晶球”,這是一個非常不可思議的結果,科學家認為繼續對這顆白矮星進行調查,有助於為其他類型的超新星爆發提供依據,更好地測量出宇宙的大尺度範圍。
恆星參數
表面重力
白矮星(藝術想像圖) 一顆與地球體積相當的白矮星(比如說天狼星的鄰星Sirius B)的表面重力約等於地球表面的18萬倍。在這樣高的壓力下,任何物體都已不復存在,連原子都被壓碎了,電子脫離了原子軌道變為自由電子。
體積
體積小,它的半徑接近於行星半徑,平均小於10 千米。
光度
光度即恆星每秒鐘內輻射的總能量,即恆星發光本領的大小。白矮星的光度非常小,是正常恆星平均的10 分之一。
質量
質量為2.213248萬億噸。
密度
白矮星密度高達1,000,000 g/cm (地球密度為5.5g/cm )。
溫度
白矮星的表面溫度很高,平均為10 ℃。
磁場
白矮星的磁場高達10 --10 高斯。
冷卻計算原理
為了利用白矮星進行宇宙紀年學的研究,就必須計算白矮星的冷卻速率。白矮星的冷卻速率基本上依賴於兩個方面 :
白矮星內部儲存了多少熱能;
能量從熱的核心以多快的速率經過稀薄而不透明的外層損失掉。
1.白矮星內部儲存了多少熱能;
2.能量從熱的核心以多快的速率經過稀薄而不透明的外層損失掉。
因此,先要根據熱力學計算白矮星內部包含的總能量,然後再求解整顆星的能量傳輸問題。這需要精確的熱力學描述方程以及包層的輻射與傳導不透明度。此外,還要解決對流輸運問題,並且需要用更精確的大氣模型作為外邊界條件。
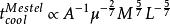
Mestel對白矮星冷卻的計算被視為經典冷卻理論,以後的模型都是在這個基礎上不斷完善和發展起來的。Mestel給出
白矮星 其中A為核心物質的原子量,拼為包層物質的平均分子量,M和L分別代表白矮星的質量與光度。上式雖然不夠完善,但是從中可以看出白矮星的冷卻時間與核心化學成分、包層化學成分、質量和光度有關。Lamb在此基礎上做了一些修正,並發展了第一個白矮星演化程式,隨後這個程式被不斷發展完善,直到今天仍在不斷改進之中。
Chabrier1998年的工作比較詳細地描述了白矮星冷卻計算的基本原理。考慮基本的物理因素,從熱力學原理出發,他推導出白矮星冷卻計算的基本公式:
白矮星 其中dq/dt表示單位質量的熱量損失率;du/dw分別表示單位內能和引力能的變化;為單位質量的中微子發射率。上式描述了白矮星冷卻的基本過程:損失的能量等於內能與引力能的變化及中微子帶走的能量之和.這雖然是個簡化的模型,但是可以從中了解到白矮星演化模型建立的基本方法。
天體特徵
數量
人們已經觀測發現的白矮星有1000多顆。天狼星(Sirius)的伴星是第一顆被人們發現的白矮星,也是所觀測到的最亮的白矮星(8等星),它的密度在1000萬噸/立方米左右,體積比地球大不了多少,但質量卻和太陽差不多。
1982年出版的白矮星星表表明,銀河系中有488顆白矮星,它們都是離太陽不遠的近距天體。根據觀測資料統計,大約有 3%的恆星是白矮星,但理論分析與推算認為,白矮星應占全部恆星的10%左右。
螺旋
白矮星相撞 在大約1,600光年遠的一個叫做J0806的非常著名的雙星系統里,兩個緻密的白矮星每321秒繞各自的軌道旋轉一周。錢德拉天文台天文學家的X射線波段數據分析反駁了一個已經給人留下深刻印象的觀點:這兩顆白矮星的短軌道周期處於一種穩定的狀態,當他們的螺旋湊的越近,他們的周期越短。即使它們是分開有80,000公里的兩個星(地球與月亮的距離是400,000 公里),它們也注定要合併的。根據這個藝術家般的觀點描述,著名的J0806系統螺旋毀滅的原因便是同愛因斯坦相對論中預言的那樣:白矮星由於重力波產生的影響而最終喪失它的軌道能量。事實上,J0806可能是我們銀河系重力波最明亮的光源之一,可以直接利用未來設立在太空的重力波工具捕獲。
天體演變
白矮星屬於演化到晚年期的恆星,恆星在演化後期,拋射出大量的物質,經過大量的質量損失後,如果剩下的核的質量小於1.44個太陽質量,這顆恆星便可能演化成為白矮星。對白矮星的形成也有人認為,白矮星的前身可能是行星狀星雲(是宇宙中由高溫氣體、少量塵埃等組成的環狀或圓盤狀的物質),它的中心通常都有一個溫度很高的恆星──中心星,它的核能源已經基本耗盡,整個星體開始慢慢冷卻、晶化,直至最後“死亡”。
電子簡併壓與白矮星強大的重力平衡,維持著白矮星的穩定。當白矮星質量進一步增大,電子簡併壓就有可能抵抗不住自身的引力收縮,白矮星還會坍縮成密度更高的天體:中子星或黑洞。對單星系統而言,由於沒有熱核反應來提供能量,白矮星在發出光熱的同時,也以同樣的速度冷卻著。經過數千億年的漫長歲月,年老的白矮星將漸漸停止輻射而死去。它的軀體變成一個比鑽石還硬的巨大晶體——黑矮星。
而對於多星系統,白矮星的演化過程則有可能被改變(例如雙星)。
發現歷史
第一顆被發現的白矮星是三合星的波江座 40,它的成員是主序星的波江座 40A,和在一段距離外組成聯星的白矮星波江座 40B和主序星的波江座 40C。波江座 40B和波江座 40C這一對聯星是威廉·赫歇爾在1783年1月31日發現的,它在1825年再度被Friedrich Georg Wilhelm Struve觀測,1851年被Otto Wilhelm von Struve觀測。
在1910年,亨利·諾瑞斯·羅素、愛德華·皮克林和威廉·佛萊明發現他有一顆黯淡不起眼的伴星,而波江座 40B的光譜類型是A型或是白色。
1892年,Alvan Graham Clark發現了天狼星的伴星。根據對恆星數據的分析,這個伴星的質量約一個太陽質量,表面溫度大約25000K,但是其光度大約是天狼星的萬分之一,所以根據光度和表面積的關係,推斷出其大小與地球相當。這樣的密度是地球上的物質達不到的。1917年,Adriaan Van Maanen發現了目前已知離太陽最近的白矮星Van Maanen星。
1917年,范·馬南發現了一顆孤獨的白矮星,被稱為范馬南星。這三顆白矮星,最早發現的,是所謂的經典的白矮星。終於,有許多的黯淡的白色恆星被發現,它們都有高自行,表示都是緊鄰地球的低光度天體,因此都是白矮星。 威廉·魯伊登在1922年要說明這種天體時,似乎是第一個使用白矮星這個名詞的人,稍後這個名詞經亞瑟·愛丁頓而通俗化了。
在二十世紀初由Max Planck等人發展出量子理論之後,Ralph H. Fowler於1926年建立了一個基於費米-狄拉克統計的解釋白矮星的密度的理論。
1930年,蘇布拉馬尼揚·錢德拉塞卡(印度)發現了白矮星的質量上限(錢德拉塞卡極限),並因此獲得1983年的諾貝爾物理學獎。
儘管有各種的懷疑,第一顆非經典的白矮星大約直到1930年代才被辨認出來。在1939年已經發現了18顆白矮星,在1940年代,魯伊登和其他人繼續研究白矮星, 到1950年發現已經超過一百顆的白矮星,到了1999年,這個數目已經超過2000顆之後的史隆數位巡天發現的白矮星就超過9000顆,而絕大多數都是新發現的。
2014年4月,天文學家在浩瀚的宇宙之中發現了一顆已有110億年壽命的白矮星,它的溫度之低已經使構成它的碳結晶化,成為了一顆“鑽石星球”。此次發現的白矮星距離地球約900光年,在水瓶座的方向。據估計,這顆白矮星與地球大小相仿,已有110億年的壽命,約與銀河的壽命相當。它是人類迄今為止發現的溫度最低、亮度最暗的白矮星。由於溫度降低,構成這顆白矮星的碳已經結晶化,使它成為了一顆“鑽石星球”。此前,科學家們曾發現半人馬座一顆名為“BPM37093”的白矮星,直徑達4000公里,重量相當於10 克拉。科學家們從它的脈動振盪著手,推斷出它的核心已經結晶。不過,儘管分子結構相似,但宇宙中的這種“鑽石”與通常所說的鑽石並不完全相同,僅從重量上,就不是人類身體所能承受的。因此,這顆“鑽石星球”儘管價值連城,但最適合它的位置,仍然是浩瀚宇宙中的微光。
射手座新星出現的位置坐標 2015年02月13日,西班牙馬德里國家天文台科學家利用歐洲南方天文台的觀測設施,再結合加納利群島上的望遠鏡,天文學家在行星狀星雲Henize 2-428的中心驚奇地發現了兩顆白矮星,它們是由白矮星構成的密近雙星。這兩顆白矮星近環繞彼此旋轉,間距越來越近,大約7億年後兩顆星合二為一之時,它們便會擁有足夠的物質,引發一場劇烈的超新星爆炸。此次發現的這兩顆白矮星,總質量大約為太陽的1.8倍,每4個小時相互繞轉一周。這兩顆恆星相距足夠近,按照愛因斯坦的廣義相對論,它們會因為輻射引力波而盤旋著越靠越近,在未來7億年內最終合併成一顆恆星。這是迄今發現的質量最大的白矮星雙星,未來當這兩顆白矮星合併為一體時,它們將發生一場失控的熱核爆炸,產生出一顆Ia型的超新星的首個案例。合併而成的那顆恆星質量太大,會超過白矮星的理論上限,沒有任何東西能夠阻止它在自身引力作用下坍縮,繼而爆炸成一顆超新星。這一觀測結果支持了這樣一個理論:中央雙星或許可以解釋某些行星狀星雲的古怪形狀,不過一個更有趣的結果也隨之而來。利用加納利群島的望遠鏡所做的進一步觀測,讓科學家能夠測定這兩顆恆星的軌道,並推算出它們各自的質量及兩者的間距。
白矮星吸集伴星物質的藝術想像圖 2015年3月15日,澳大利亞天文愛好者 在射手座(也稱人馬座)的中心位置發現了一顆明亮的星體,其亮度約為+6等,在排除了小行星和恆星的可能性之後,認定這是一顆新星。2015年3月18日,日本天文愛好者再次觀測這顆新星時,亮度為+5.3等,據此可以推測其亮度還在不斷增加。
新星”並非從無到有的新生恆星,而是原本就在天空中,只是比較暗淡,沒有被人觀測到。而當它爆發時,亮度會突然增加,被認為是新產生的恆星,因此而得名。新星的爆發源自白矮星和伴行構成的雙星系統產生的物質交換。對多數的雙星系統,氫燃燒的熱量是不穩定的,並且會很快的將大量的氫轉換成其他元素,而造成熱核反應。這個過程會釋放出大量的能量,使白矮星發生極端明亮的爆發,並將表面剩餘的氣體吹散。
2015年02月,發現行星狀星雲Henize 2-428中央存在兩顆白矮星,質量比太陽要小一些,但兩顆白矮星正在相互靠近,大約在7億年內它們會發生合併,產生一次la型超新星爆發,最終這兩顆白矮星會在一場超級爆發中煙消雲散。
太陽演變
白矮星 太陽上絕大多數的氫正逐漸燃燒轉變為氦,可以說太陽正處於最穩定的主序星階段。對太陽這樣質量的恆星而言,主序星階段約可持續110億年。恆星由於放出光而慢慢地在收縮,而在收縮過程中,中心部分的密度就會增加,壓力也會升高,使得氫會燃燒得更厲害,這樣一來溫度就會升高,太陽的亮度也會逐漸增強。太陽自從45億年前進入主序星階段到如今,太陽光的亮度增強了30%,預計今後還會繼續增強,使地球溫度不斷升高。65億年後,當太陽的主序星階段結束時,預計太陽光的亮度將是如今的2.2倍,而地球的平均溫度要比如今高60℃左右。屆時就算地球上仍有海水,恐怕也快被蒸發光了。若僅從平均溫度來看,火星反而會是最適宜人類居住的星球。在主序星階段,因恆星自身引力而造成收縮的這股向內的力和因燃燒而引起的向外的力會互相牽制而達到平衡。但在65億年後,太陽中心部分的氫會燃盡,最後只剩下其周圍的球殼狀部分有氫燃燒。在球殼內不再燃燒的區域,由於抵消引力的向外的力減弱而開始急速收縮,此時太陽會越來越亮,球殼外側部分因受到影響而導致溫度升高並開始膨脹,這便是另一個階段--紅巨星階段的開始。紅巨星階段會持續數億年,其間太陽的亮度會達到如今的2000倍,木星和土星周圍的溫度也會升高,木星的冰衛星以及作為土星特徵的環都會被蒸發得無影無蹤,最後,太陽的外層部分甚至會膨脹到如今的地球軌道附近。
另一方面,從外層部分會不斷放出氣體,最終太陽的質量會減至主序星階段的60%。因太陽引力減弱之故,行星開始遠離太陽。當太陽質量減至原來的60%時,行星和太陽的距離要比現在擴大70%。這樣一來,雖然水星和金星被吞沒的可能性極大,但地球在太陽外層部分到達之前應該會拉大距離而存活下來,火星和木星型行星(木星,土星,天王星,海王星)也會存活下來。
像太陽這般質量的星球,在其密度已變得非常高的中心部分只會收縮到一定程度,也就是溫度只會升高到某種程度,中心部分的火會漸漸消失。太陽逐漸失去光芒,膨脹的外層部分將收縮,冷卻成緻密的白矮星。通過紅巨星時代考驗而存留下來的行星將會繼續圍繞太陽運行,所有一切都將被凍結,最後太陽系迎接的將會是寂靜狀態的結束。
若太陽這種恆星變為白矮星,每秒自轉一周。密度至少為1.41×10 kg/m

