理化性質
物理性質
甲乙酮氣味:有似丙酮的氣味。
相對蒸氣密度(空氣=1):2.42
飽和蒸氣壓(kPa):9.49(20℃)
燃燒熱(kJ/mol):2441.8
臨界溫度(℃):260
臨界壓力(MPa):4.40
辛醇/水分配係數的對數值:0.29
爆炸上限%(V/V):11.4
引燃溫度(℃):404
爆炸下限%(V/V):1.7
溶解性:溶於乙醇、乙醚,可混溶於油類。
化學性質
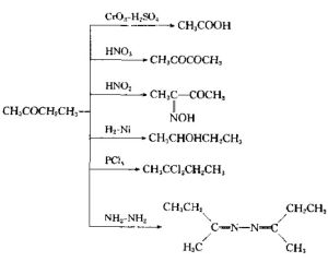
化學性質較活潑,可發生氧化、還原、羰基氧的置換等反應,如下圖:
甲乙酮的化學反應還能和親核試劑發生加成反應,如下圖:
加成反應在銀鹽催化下同甲醛反應:
與甲醛的反應製備方法
實驗室由1,4-二氯-2-丁炔與10%氫氧化鈉反應製得。
甲乙酮是乾餾木材的蒸出液(木醇油)的重要組分。工業上從仲丁醇、丁烷等製取。
仲丁醇脫氫法
有氣相和液相脫氫兩種方法。氣相脫氫用鋅銅合金或氧化鋅作催化劑,溫度400~500℃,常壓;液相脫氫用蘭尼鎳或亞鉻酸銅作催化劑,溫度150℃。液相脫氫反應溫度及能耗較低,產率較高,催化劑壽命長,分離工藝簡單。
丁烷液相氧化法
丁烷液相氧化的主產品是乙酸,同時副產丁酮(約占乙酸產量的16%)。反應溫度150~225℃,壓力4.0~8.0MPa。例如美國聯合碳化物公司,1976年用此法生產了22.6萬噸乙酸,得到3.6萬噸的副產丁酮。在美國約20%的丁酮是用此法生產的。
截至2011年,正在研究、發展的方法有丁烯液相氧化法、異丁苯法等。
丁烯液相氧化法
此法稱為互克爾法(Wacker法)。以氯化鈀/氯化銅溶液為催化劑,在90~120℃、1.0~2.0MPa條件下進行反應。
CH2=CHCH2CH3[O2]→CH3COCH2CH3
丁烯轉化率約95%,丁酮收率約88%,得到的反應液通過蒸餾等方法提純而得到成品。此法工藝過程簡單,但設備腐蝕嚴重,需用重金屬作催化劑。此法尚未套用於大規模生產。
異丁苯法
正丁烯和苯經烴化生成異丁苯,異丁苯氧化生成過氧化氫異丁苯,最後用酸分解得到丁酮和苯酚。
苯烴化以三氯化鋁為催化劑,反應溫度50~70℃,得異丁基苯;異丁基苯於110~130℃、0.1~0.49MPa壓力下,液相氧化生成異丁基苯過氧化氫;然後在酸催化劑存在下分解,於20~60℃提濃氧化液,生成丁酮和苯酚,最後分離精製而得成品。
此法特點是工藝設備腐蝕較輕,反應條件溫和,有利於工業化。
用途
行業套用
甲乙酮是一種性能優良的溶劑,如用於潤滑油脫蠟、塗料工業及多種樹脂溶劑、植物油的萃取過程及精製過程的共沸精餾,其優點是溶解性強,揮發性比丙酮低,屬中沸點酮類溶劑。還廣泛套用於塗料、煉油、染料、醫藥工業、潤滑油脫蠟、磁帶、印刷油墨等領域。甲乙酮沸點適中,溶解性能好,揮發速度快,穩定、無毒,在酮類溶劑中的重要性僅次於丙酮。它還是一種重要的有機合成原料,用以合成甲乙酮過氧化物,是製備香料、抗氧化劑以及某些催化劑的中間體。
甲乙酮還是製備醫藥、染料、洗滌劑、香料、抗氧化劑以及某些催化劑的是中間體,合成抗脫皮劑甲基乙基酮肟、聚合催化劑甲基乙基酮過氧化物、阻蝕劑甲基戊炔醇等,在電子工業中用作積體電路光刻後的顯影劑。
用量
中國甲乙酮的生產和消費尚屬初級階段。2012年統計,中國甲乙酮生產能力約3萬噸/年,產量很少,無法滿足消費要求,因此長期依賴進口。
甲乙酮在國內的較大用戶是溶劑脫蠟行業,據中國石油化工總公司統計,中石化總公司用於溶劑脫蠟的甲乙酮,消耗量為10000噸/年。磁帶生產中,年消耗量約為5500噸。合成革行業全年用量約26000噸。在粘合劑行業中,每年用量約為9000噸。其它行業中,每年用量約為1107噸。總計用量約6萬噸。
使用注意事項
危險性概述
健康危害:對眼、鼻、喉、黏膜有刺激性。長期接觸可致皮炎。該品常與己酮混合套用,能加強己酮引起的周圍神經病現象,但單獨接觸丁酮未發現有周圍神經病現象。
燃爆危險:該品易燃,具刺激性。
急救措施
皮膚接觸:脫去污染的衣著,用肥皂水和清水徹底沖洗皮膚。
眼睛接觸:提起眼瞼,用流動清水或生理鹽水沖洗。就醫。
吸入:迅速脫離現場至空氣新鮮處。保持呼吸道通暢。如呼吸困難,給輸氧。如呼吸停止,立即進行人工呼吸。就醫。
食入:飲足量溫水,催吐。就醫。
消防措施
滅火方法:儘可能將容器從火場移至空曠處。噴水保持火場容器冷卻,直至滅火結束。處在火場中的容器若已變色或從安全泄壓裝置中產生聲音,必須馬上撤離。滅火劑:抗溶性泡沫、乾粉、二氧化碳、砂土。
泄漏應急處理
應急處理:迅速撤離泄漏污染區人員至安全區,並進行隔離,嚴格限制出入。切斷火源。建議應急處理人員戴自給正壓式呼吸器,穿防靜電工作服。儘可能切斷泄漏源。防止流入下水道、排洪溝等限制性空間。
少量泄漏:用砂土或其它不燃材料吸附或吸收。也可以用大量水沖洗,洗水稀釋後放入廢水系統。
大量泄漏:構築圍堤或挖坑收容。用泡沫覆蓋,降低蒸氣災害。用防爆泵轉移至槽車或專用收集器內,回收或運至廢物處理場所處置。
操作處置與儲存
操作注意事項:密閉操作,全面通風。操作人員必須經過專門培訓,嚴格遵守操作規程。建議操作人員佩戴自吸過濾式防毒面具(半面罩),戴化學安全防護眼鏡,穿防靜電工作服,戴橡膠耐油手套。遠離火種、熱源,工作場所嚴禁吸菸。使用防爆型的通風系統和設備。防止蒸氣泄漏到工作場所空氣中。避免與氧化劑、還原劑、鹼類接觸。灌裝時應控制流速,且有接地裝置,防止靜電積聚。搬運時要輕裝輕卸,防止包裝及容器損壞。配備相應品種和數量的消防器材及泄漏應急處理設備。倒空的容器可能殘留有害物。
儲存注意事項:儲存於陰涼、通風的庫房。遠離火種、熱源。庫溫不宜超過30℃。保持容器密封。應與氧化劑、還原劑、鹼類分開存放,切忌混儲。採用防爆型照明、通風設施。禁止使用易產生火花的機械設備和工具。儲區應備有泄漏應急處理設備和合適的收容材料。
反傾銷
2007年11月21日,商務部發布年度第81號公告,決定對原產於日本、台灣地區和新加坡的進口甲乙酮徵收反傾銷稅,實施期限為5年。
2012年9月20日,中國大陸甲乙酮產業申請對原產於日本和台灣地區的進口甲乙酮所適用的反傾銷措施進行到期複審調查,並申請繼續維持該反傾銷措施。
2012年11月21日,中國商務部發布2012年度第69號公告,決定自即日起,對原產於日本和台灣地區的進口甲乙酮所適用的反傾銷措施進行期終複審調查。並將於2013年11月21日之前做出複審調查裁決。

