環境分析方法
正文
測定環境污染物的性質、來源、含量和分布狀態以及環境背景值的方法。環境分析方法是在套用現代分析化學各個領域的測試技術和手段的基礎上發展起來的,要求靈敏、準確、精密,並且具有簡便、快速和連續自動等特點。環境分析方法很多,每種方法都有一定的適用範圍和對象。常用的環境分析方法可分為化學分析法、光譜分析法、色譜分析法、電化學分析法四類,每類又可根據所採用的分析原理和儀器分為若干種。
化學分析法分為重量分析法、容量分析法;光譜分析法分為比色分析法、紫外分光光度法、紅外分光光度法、原子吸收光譜法、原子發射光譜法、 X射線螢光分析法、螢光分析法;色譜分析法分為氣相色譜法、高效液相色譜法、薄層色譜法、離子色譜法、色譜-質譜聯用技術;電化學分析法分為極譜分析法、電導分析法、電位分析法、庫侖分析法。
化學分析法 依賴於特定的化學反應對化學物質進行分析的方法。
重量分析法 定量分析中的一種經典方法。18世紀中葉,羅蒙諾索夫首先使用天平稱量法,對物質在化學變化中量的改變進行了測定,並證明了質量守恆定律,實際上為定量分析中的重量分析法奠定了基礎。重量分析法要求有精密的分析天平,19世紀分析天平稱量準確度達0.1毫克;20世紀出現了微量分析天平和超微量分析天平,稱重的準確度分別達到 0.001和0.0001毫克,擴大了重量分析的套用範圍。
重量分析法是準確地稱量出一定量試樣,然後利用適當的化學反應把其中欲測成分變成純化合物或單體析出,採用過濾等方法與其他成分分離,經乾燥或灼燒後稱量,直至恆重,求出欲測成分在試樣中所占比例。除了這種直接測定法外,還可採用間接測定法,即將試樣中欲測成分揮發掉,求出揮發前後試樣重量差,從而求得欲測成分的含量。重量分析法根據所用分析操作的方法分為沉澱法、均相沉澱法、電解法、氣體發生(吸收)法和萃取法等。在環境污染物分析中,重量法常用於測定硫酸鹽、二氧化矽、殘渣、懸浮物、油脂、飄塵和降塵等。重量分析法廣泛套用於化學分析。隨著稱量工具的改進,重量分析法也不斷發展,如近年來用壓電晶體的微量測重法測定大氣飄塵和空氣中的汞蒸汽等。
容量分析法 又稱滴定法,是一種經典的方法。19世紀初期,L.蓋呂薩克提出了氣體定律,奠定了氣體容量分析方法的理論基礎。後來,他把測量氣體和液體體積的分析方法套用於實際。容量分析法是利用一種已知濃度的試劑溶液(稱為標準溶液)與欲測組分的試液發生化學反應,反應迅速而定量地完成(即達到反應終點)後,根據所用標準溶液的濃度和體積(從滴定管上讀取)及其當量關係,算出試液中欲測組分的含量。終點的鑑定除利用指示劑的變色目視鑑定外,還可套用各種儀器的方法來鑑定,如電位滴定法、光度滴定法、高頻滴定法、電流滴定法、電導率滴定法、溫度滴定法等。近年來在容量分析中已採用各種型式的自動滴定儀。
容量分析的優點是操作簡便,迅速、準確,費用低,適用於常規分析。根據所利用的反應種類,容量分析法可分為中和滴定法、氧化還原滴定法、沉澱滴定法、絡合滴定法等。在環境污染分析中,容量分析法套用於生化需氧量、溶解氧、化學需氧量等水污染常規分析指標分析,以及揮發酚類、甲醛、氰化物、氟化物、硫化物、六價鉻、銅離子、鋅離子等污染物的分析。
光譜分析法 光譜可分為吸收光譜和發射光譜。利用光譜學的原理和實驗方法以確定物質的結構和化學成分的分析方法稱為光譜分析法,包括下述各種方法:
比色分析法 根據試液顏色深淺的程度,把試液與顏色深淺程度不同的已知標準溶液相比較,來確定物質含量的方法。
1729年P.包蓋爾提出了包蓋爾定律,即組成相同的呈色溶液,如液層厚度相等時,則色的強度相同。1760年J.H.朗伯特提出與包蓋爾定律近似的朗伯特定律,即濃度相同的呈色溶液,色的強度與液層的厚度成比例。1852年A.比爾提出了比爾定律,即液層厚度相等時,色的強度與呈色溶液的濃度成比例。這些定律奠定了比色分析法的理論基礎。1854年J.迪博塞克和J.奈斯勒等將這些理論套用於定量分析化學領域。1873年C.維洛特首先套用分光光度法以進行光度分析。光度法不像比色法那樣比較呈色溶液顏色的強度,而是測定呈色溶液的透光度或吸光度。1874年Н.Г.葉戈羅夫首先將光電效套用於比色分析,他所設計的光電光度計就是現代光電比色計的雛型。1894年出現了浦夫立許光度計;1911年出現了貝爾格光電比色計;1941年出現了貝克曼DU型分光光度計。後來又出現自動記錄的分光光度計、示波器分光光度計、雙波長分光光度計和數字顯示分光光度計等。光度法的靈敏度和準確度不斷提高,套用範圍也不斷擴大。
比色分析法如以肉眼觀察比色管來比較溶液顏色的深淺以確定物質含量的,稱為目視比色法。利用光電池和電流計來測量通過有色溶液的透射光強度,從而求得被測物質含量的方法叫作光電比色法;所用的儀器稱為光電比色計。
分光光度法又稱吸收光譜法,是利用單色器(稜鏡或光柵)獲得單色光(3~5纖米波帶的寬度)來測定物質對光吸收能力的方法;所用的儀器稱為分光光度計。
比色法和分光光度法以朗伯特-比爾定律(亦稱光的吸收定律)為基礎,即溶液的吸光度與溶液中有色物質的濃度及液層厚度的乘積成正比例。其數字關係式為lg(Io/I)=K·C·L。式中Io為入射光的強度;I為透射光的強度;L為光線通過有色溶液的液層厚度;C為溶液中有色物質的濃度;K為常數(對於某種有色物質在一定波長的入射光時,K為一定值),稱為消光係數(也稱吸光係數)。K值的大小隨L和C的單位而改變,如果L以厘米表示,C以摩爾/升為單位,則此常數稱為摩爾吸光係數(或摩爾消光係數),常以ε表示。
比色分析法的主要優點是準確、靈敏、快速、簡便而費用又低。測定物質的最低濃度一般可達每升10-10克,如經化學法富集,靈敏度還可提高2~3個數量級。測定的相對誤差通常為1~5%。
比色分析法和分光光度法在環境污染分析中已被普遍採用,但污染物必須先與顯色試劑作用轉化成有色化合物後才能進行測定。目前已研製出各種效果良好和非常靈敏的有機顯色劑。金屬離子、非金屬離子和有機污染物均可用這種方法測定。
紫外分光光度法 利用化學物質在紫外光區的吸收與紫外光波長間的函式關係而建立起來的分析方法。紫外光譜的波長範圍可分為近紫外區(200~400纖米)和遠紫外區(10~200纖米),前者常用於化學分析,後者因空氣吸收波長在 200纖米以下的紫外線,測量須在真空中進行,所以在分析上較少套用。
分子吸收紫外輻射常是其外層電子或價電子被激發的結果。電子愈易激發,則吸收峰的波長就愈長。
紫外分光光度計一般用氫燈做輻射源,用石英稜鏡或光柵做單色器,用光電倍增管做檢測器。吸收池的材料一般為石英或矽石,長度為 1~10厘米。若用氘代替氫,其發射強度在紫外區短波長處可增加三倍。
簡單的無機離子和它的絡合物以及有機分子,可在紫外光譜區進行檢定和測量。有效的溶劑有水、飽和碳氫化合物、脂族醇和醚。能吸收紫外輻射的有機化合物至少要含有一個不飽和鍵,如C=C,C=O,N=N以及S=O,以起發色團的作用。吸收峰的波長隨著發色團的不飽和程度的增大而增長。一些化合物及其最大吸收波長如右表所示。
紫外分光光度法在環境污染分析方面的套用主要有以下幾方面:①在大氣污染分析中真空紫外線氣體分析儀已套用於分析汽車廢氣;紫外氣體分析儀可套用於分析臭氧、二氧化氮、氯氣。氣態氨在190~230纖米波長上有幾條強烈的吸收帶,可用於直接測定氨氣的濃度。②某些多環芳烴和苯並(a)芘在紫外區有強吸收峰,常用此法測定。③某些含有共軛體系的油品在紫外光區具有特徵吸收峰,故可用此法測定油類污染。④此法還可用於測定食物、飲料、香菸、水質、生物、土壤等試樣中可能含有的致癌物質,以及殘留農藥、硝酸鹽和酚等。⑤此法也可與色譜分析聯用,待測試樣先經色譜柱,然後讓色譜柱洗脫液流經紫外分光光度計的吸收槽以檢測試樣所含的痕量污染物。近年來迅速發展起來的高速液相色譜儀均配備有紫外檢測器。 紅外分光光度法 也叫紅外光譜分析法,是一種儀器分析方法。物質在紅外光照射下,只能吸收與其分子振動、轉動頻率相一致的紅外光線,因此不同物質只能吸收一定波長的入射光而形成各自特徵的紅外光譜,而對一定波長紅外線吸收的強弱則與物質的濃度有關。根據這一原理可進行物質定性、定量分析及複雜分子的結構研究。
在環境分析化學中,紅外分光光度法主要用於 450~1000厘米-1紅外區有吸收的氣體、 液體和固體污染物。在測定大氣污染時,採用多次反射長光程吸收池和傅立葉變換紅外光譜儀,可測ppm至ppb級濃度的易揮發性氣體(乙炔、胺、乙烯、甲醛、氯化氫、硫化氫、甲烷、丙烯、苯、光氣等)。在大氣中發現的一種新化合物過氧乙醯硝酸酯,就是經過紅外光譜法和質譜法的鑑別後確定的。用紅外光譜法還發現了美國洛杉磯空氣中有臭氧存在。用傅立葉變換紅外光譜可測定水中濃度在1ppb以下的有機污染物和農藥。與質譜法相比,紅外光譜法可以很容易地區分污染物的各種異構體。紅外光譜法是鑑別水中石油污染的主要方法之一。紅外光譜法可用於大氣污染化學反應的測定。氣相色譜-紅外光譜聯用技術可以測定低沸點、易揮發的有機污染物。由於利用了氣相色譜的分辨能力,突破了紅外光譜法原來只適用於純化合物的限制,因此氣相色譜-紅外光譜聯用也能套用於混合物的測定。
原子吸收光譜法 利用元素的原子蒸汽(火焰或石墨爐產生)吸收銳線光源(空心陰極燈或無極放電燈)的光進行定量分析的方法。主要優點:①選擇性好,干擾少,在分析複雜環境樣品時容易得到可靠的分析數據。②儀器操作簡便,費用較低。③靈敏度高,可用於微量樣品分析。用火焰原子吸收法可測定樣品含量至毫克每升級,用石墨爐法可測至微克每升級,靈敏度高於高頻耦合電漿法。④測定含量範圍廣,既能進行痕量元素分析,又能測定基體元素的含量。穩定的原子吸收分光光度計,其準確度能達到0.1~0.3%,可與經典容量法相比擬。
原子吸收光譜法加測汞和氫化物發生器等附屬檔案,測定靈敏度可比石墨爐更高,汞、砷、硒、碲、鉍、銻、鍺錫、鉛的測定範圍可提高1~2個數量級。原子吸收光譜法已廣泛用於測定水、飄塵、土壤、糧食以及各種生物樣品中的重金屬元素。用原子吸收光譜法測定的元素已達七十多種。原子吸收光譜法中以火焰法比較成熟,使用最多,但對於環境樣品,分析靈敏度還不夠高。石墨爐法雖不夠成熟,卻是一種靈敏度很高的分析手段。 原子吸收光譜法的缺點是:①測定每種元素都要更換專用的燈,不能同時作多元素分析。②各種干擾作用比高頻耦合電漿法更大。③對共振線位於真空紫外區的元素測定有困難。④對固體樣品的測定比較困難。⑤對某些高溫元素如鈾、釷、鋯、鉿、鈮、鉭、鎢、鈹、硼等的測定靈敏度太低。
原子發射光譜法 利用原子蒸汽在電或熱的激發下產生的光譜,通過光譜儀照相記錄或光量計直接讀數的定量分析方法。主要特點是能一次同時測定多種金屬元素,選擇性好,干擾少,能直接分析液體和固體樣品,適合於定性和多種元素定量分析。分析範圍液體為毫克/升到微克/升,固體分析靈敏度為1%至0.001%。採用化學分離富集後再行測定,可提高靈敏度 1~2個數量級。在環境保護中可用於分析水、飄塵、土壤、糧食以及各種生物樣品等。缺點是要用照相干板記錄,分析周期長;對於超痕量元素的定量分析,靈敏度不夠;直接分析固體樣品時,誤差較大。
傳統的發射光譜分析,是用溶液乾渣法分析溶液,碳槽粉末法分析固體;以交流電弧或直接電弧作為激發光源;使用中型石英光譜儀或光柵光譜儀,照相干板記錄。基體影響將使分析誤差加大。最近,在溶液乾渣法中引入鋰鹽為緩衝劑,使基體影響減少,分析準確度大大提高,因而發射光譜法在一定程度上成為一種通用的定量分析方法。碳槽粉末法由於工作曲線斜率低,誤差大,還未能成為通用的定量分析方法。
近年來,發展了直流和高頻耦合電漿光源,結合使用光電記錄,提高了分析的精度、靈敏度和速度,減少了基體效應,有較好的再現性,較寬的線性動態範圍,並可同時測定多種元素,是一種新的分析手段。但高頻耦合電漿為光源的儀器價格昂貴,氬氣消耗量大,分析成本高,對於環境樣品的分析靈敏度不夠。直流電漿光源的靈敏度雖不及高頻耦合電漿光源,但儀器價格低,氬氣消耗小,對人體健康影響小,所以近年來發展很快。
X射線螢光分析法 X射線螢光分析的基本原理是以高能X射線(一次X射線)轟擊樣品,將待測元素原子內殼層的電子逐出,使原子處於受激狀態,10-12~10-15秒後,原子內的原子重新配位,內層電子的空位由較外層的電子補充,同時放射出特徵X射線(二次X射線)。特徵X射線波長λ和原子序數Z有一定關係:λ ∝1/Z2。測定這些特徵譜線的波長或能量可作定性分析;測量譜線的強度,可求得該元素的含量。
X射線螢光分析法所用的激發源有X射線管、放射性同位素、電子、質子或α 粒子等。測定方法有波長色散法和能量色散法兩種。波長色散法是一種經典方法。能量色散法採用Si(或Li)半導體探測器和多道分析器,可同時測定鈉以上的全部元素,它的解析度比波長色散法低些,但能適用於多元素分析。
X射線螢光分析法具有快速、準確、 測定範圍寬、能同時測定多種元素、自動化程度較高和不破壞樣品等優點,故已廣泛地套用於環境污染監測。如測定大氣飄塵中痕量金屬化合物;藉助電子計算機,自動監測大氣飄塵以及大氣中二氧化硫和氣溶膠吸附的硫,也適用於測定各種水體懸浮粒子中的重金屬以及溶解於水中的痕量元素。
螢光分析法 物質吸收了某一波段的光線(激發光)後,引起能級躍遷,發出波長比激發光的波長稍長些的光線,這種光線稱為螢光。測量螢光光譜特性及其強度以確定該物質及其含量的方法,稱為螢光分析法。如被測樣品的濃度很低,其螢光強度便與物質的濃度成正比,根據這種特性,可以進行物質的定量分析;不同物質具有不同的螢光激發光譜和發射光譜,根據光譜的特性可以進行物質的定性分析。特別是螢光分光光度計能得到兩種光譜(激發光譜和發射光譜),用這兩種光譜圖鑑定物質,比使用吸收光譜法更為可靠。
螢光分析所用的儀器有目測螢光計、光電螢光計和螢光分光光度計等。每種儀器均由光源、濾光片或單色器、液槽和探測器等部件組成。
螢光分析法的靈敏度很高,比一般的分光光度法高2~3個數量級,能檢測10-11~10-12克的痕量物質。螢光分析法還具有實驗方法簡便、取樣容易、試樣用量少等優點,因而是一種重要的分析技術。目前用螢光分析法測定的元素已達60多種,化合物數百種。在環境污染分析中,螢光分析法已被廣泛地套用於測定致癌物和其他毒物,如苯並(a)芘等多環芳烴、β-萘胺、黃麴黴毒素、農藥、礦物油、硫化物、硒、硼、鈹、鈾、釷等。
色譜分析法 原為一種經典的分析方法。這種方法的工作原理是:不同的物質在不相混溶的兩相──固定相和流動相中有不同的分配係數。當兩相作相對運動時,物質隨流動相運動,並在兩相間進行反覆多次的分配而達到分離。此法在技術上經過不斷的發展,能使分離的組分通過各種檢測器進行連續測定,從而形成現代色譜的各種分離分析方法,包括氣相色譜、液相色譜等等。此法具有高效分離、靈敏、快速等特點,所以是檢測環境樣品中微量或痕量已知污染物的有效方法。常用的色譜分析法有:
氣相色譜法(GC) 以氣體為流動相的色譜法,根據固定相的狀態又分為氣固色譜法和氣液色譜法。前者用分子篩、矽膠、活性炭、高分子多孔微球等做固定相,適於分析化學性質穩定的氣體及C1-C4烴類氣體;後者用蒸汽壓低、熱穩定性好,在操作溫度下呈液態的有機化合物做為固定液,塗敷在惰性載體上或毛細管內壁上作為固定相。氣相色譜法的特點為:①分離效率高和選擇性好。一般填充柱每米有數千個理論塔板,毛細管柱則可達 105~106個,因此適於分析複雜的多組分環境樣品。②靈敏度高。GC有許多高靈敏度的檢測器,如氫火焰離子化檢測器(FID)、電子捕獲檢測器(ECD)、火焰光度檢測器(FPD)等,可檢出低達10-11~10-13克的樣品組分,適合於環境樣品中痕量毒物的測定。③分析速度快。一個分析周期通常只需幾分鐘至幾十分鐘。④套用範圍廣。可用以分析氣體、易揮發的液體或固體以及其他經衍生作用而轉化為易揮發化合物的物質。如用GC-ECD方法可連續測得各種環境介質中含量低至 ppb級的有機氯農藥DDT、 六六六的八種異構體和降解產物。有機磷農藥如樂果、馬拉硫磷、對硫磷等,用FPD檢測也可達ppb級。氣相色譜法也是分離測定多氯聯苯、多環芳烴、苯胺類、氯苯類等有機毒物,以及大氣污染物如硫氧化物、氮氧化物、一氧化碳等氣體常用的有效方法。對於無機化合物可先轉化成揮發性化合物再用GC測定,如鈹、鉻等有毒元素轉化為三氟乙醯丙酮螯合物,用GC-ECD可測定低至10-13克。採用將硒轉化為硒二唑類化合物的方法,適用於各種環境樣品中痕量硒的測定。鉛、砷、汞、硒、錫等元素的毒性同它們存在的價態和形態有關。為了解這些元素在環境中的遷移轉化,採用氣相色譜-原子吸收聯用法(GC-AAS)分離測定它們的烷基化合物是較新的有效手段。 高效液相色譜法(HPLC) 經典的液相色譜法是以重力流動的液體為流動相,因而分離速度很慢;由於色譜柱填充物粒度較大,分離效率不高,並缺乏專用的檢測裝置,使套用受到限制。在現代氣相色譜技術的影響下,液相色譜法的流動相輸液系統和色譜柱的填充材料都有了改革,於70年代形成了高效液相色譜法。其特點為:①分離效率高。使用新型填充物,粒度可小於50微米,每米柱的塔板數達5000以上。②分離速度快。採用高壓輸液泵,流動相壓力高達300千克力/厘米2以上,流速遠比經典液相色譜法為快,分離速度可與氣相色譜法相比。③靈敏度高。流出液流經紫外或螢光等檢測器,可直接檢出低至10-10~10-13克的物質。④可以測定高沸點、熱不穩定等不宜於用氣相色譜法測定的大分子量的化合物。環境中的一些致癌物質如黃麴黴毒素、多環芳烴以及除莠劑、殺蟲劑等都可以用HPLC進行快速、靈敏的分析測定。大氣飄塵的多環芳烴從兩環的萘至五環的苯並(a)芘等 10多種化合物,在半小時內便可分離測定。套用紫外檢測器可以檢知含量為纖克/米3級的多環芳烴。
薄層色譜法(TLC) 薄層色譜法是將載體均勻地塗布在玻璃板上,所得的薄層板作為固定相,樣品點在板上,放入密封槽中,用溶劑(流動相)展開,從而分離樣品的各組分。TLC的分離效果優於紙色譜法,展開的時間短。由於斑點集中及薄層板的容量大,所以靈敏度提高很多。早先的薄層分析是先將斑點取下,洗脫後用合適的方法測定,或直接用光密度計測量斑點,操作費時,誤差大,靈敏度也不高。近來發展的薄層掃瞄器,能夠直接進行定性、定量測定,效果較好。薄層色譜法適合於大分子量有機化合物的分離測定。用薄層色譜法結合薄層掃瞄器可以分離測定多環芳烴、多氯聯苯、亞硝胺、農藥、黃麴黴毒素等,靈敏度可達ppb級。薄層色譜法近年來在高效分離方面也有進展。高效薄層色譜法 (HPTLC)是用更細顆粒的矽膠(5~10微米)製作薄層板,使展開距離短,重現性好,靈敏度更高,可達纖克至沙克級水平。
離子色譜法(IC) 是在離子交換色譜法基礎上新近發展起來的一種方法。離子交換色譜法是以離子交換劑為固定相的色譜法,由於交換劑對流動相中不同離子的交換能力不同,經過多次反覆的交換平衡可使各種離子分離。早期是在分別收集洗脫液後,用其他分析方法分別進行定量測定。70年代以來,採用了高壓輸液技術,提高了分離速度,聯接庫侖儀可同時測定多種無機離子,這種方法稱為高壓離子交換色譜法。1975年斯莫爾等人採用了通用而靈敏的電導檢測器,並在離子交換柱後接一抑制柱以消除洗脫液的電導率,從而能在低背景下測定微量離子的電導率。對於目前用原子吸收分光光度法、電化學法及其他分析方法不易測定的一些陰離子,如鹵素離子、硫酸根、亞硝酸根、硝酸根、磷酸根等以及胺、鈣、鎂、銨等陽離子,IC顯示了獨特的優越性,並有以離子色譜儀為名的商品出售,而稱此法為離子色譜法。其特點為:①快速。可以在15分鐘內分離測定水樣中氟、氯、溴、碘離子、硝酸根、亞硝酸根、磷酸根、硫酸根等。②靈敏度高。可以檢出ppm和ppb含量的離子。③高效分離。可以連續測定多組分。此法在環境分析中用於測定大氣、水、降水、土壤、工業廢氣、廢水中的陰離子頗為方便。此外,還用於測定汽車廢氣中的氨和胺,氣溶膠中的硫酸根、硝酸根,鍋爐水中的氯離子、硫酸根、亞硫酸根和磷酸根等。
氣相色譜-質譜聯用技術(GC-MS) 由氣相色譜儀與質譜儀結合使用的一種新型完整的分析技術,可進行複雜混合化合物的定性定量分析。通常還配備電子計算機,以構成氣相色譜-質譜-計算機系統。氣相色譜儀與質譜儀的結合,中間大多要經過一界面裝置(分子分離器),解決色譜柱出口(通常為常壓)與質譜儀離子源(真空度為10-4~10-7)之間的壓降過渡的問題;分子分離器還能對進入質譜儀的色譜餾分起到濃縮作用。但毛細管柱色譜儀與質譜儀的結合也有採取不經分子分離器的直接耦合方式。一般採用的分子分離器有噴嘴、多孔玻璃、多孔銀、多孔不鏽鋼、聚四氟乙稀毛細管、矽橡膠隔膜、導通率可變的狹縫、塗有矽酮的銀-鈀合金管、膜片-多孔銀等類型。試樣餾分隨載氣進入分子分離器時,由於餾分分子量與載氣分子量相差較大,空間擴散能力不同,從而在大抽速泵的抽力下大部分載氣與試樣餾分在分子分離器里得到分離。典型的雙噴嘴式分子分離器見圖3,氣相色譜-質譜聯用裝置示意圖見圖 4。 質譜儀是用以分析各種元素的同位素並測量其質量及含量百分比的儀器。它是由離子源、分析器和收集器三個部分組成。用於氣相色譜-質譜聯用技術的質譜儀有磁式質譜儀和四極矩質譜儀兩種類型。前者分辨本領高(R=1000~150000),靈敏度也高(10-9~10-13克),而且質量範圍較寬,並可增設峰匹配、亞穩技術等功能,但掃描速度不如後者。四極矩質譜儀靈巧輕便,掃描速度快,特別適合於毛細管柱色譜窄峰情況,但分辨本領一般只能達到R=1000~3000,而且質量範圍窄,存在質量歧視效應。氣相色譜-質譜聯用技術中經常用到的質譜技術有:①電子轟擊技術,用來了解樣品的結構信息和分子組成,是質譜中最為常用的技術。②化學電離技術,可獲得電子轟擊技術無法獲得的某些化合物的分子信息。③單離子檢測技術,對被測化合物的特徵離子質量進行單離子檢測可得到高信噪比質量色譜圖,靈敏度比掃描全部譜圖質量範圍高2~3個數量級,同時可對未得到分辨開的色譜峰進行甄別。此法對可疑色譜峰的鑑別尤其有用。與氣相色譜的保留值相結合可直接給出可靠的定性結果。④質量碎片技術,通過跳躍掃描技術同時掃描所選定的多個特徵離子。這項技術專一性強、靈敏度比總離子流高2~3個數量級(一般可達10-10~10-12克)。與計算機相結合可發展為強度匹配技術和計算機化的質量碎片技術。
用於氣相色譜-質譜聯用的氣相色譜技術與普通氣相色譜技術不同之處在於:對載氣流率和固定液的流失更為敏感。因受質譜儀真空度所限,載氣流率不易達到最佳化,同時,在載氣種類的選擇上,由於分子分離器原理的要求,只能選取那些擴散係數與樣品化合物相差甚遠的輕質量氣體。一般多採用氦或氫。用於氣相色譜-質譜聯用的色譜柱固定液分離效率要高,熱穩定性要好,固定液在柱中的含量要低,以保證高效低流失。常用的固定液有:SE-30,SE-52,SE-54,OV-1,F-60,QF-1,Dexsil 300,Dexsil 400,PPE-20,SF-96等類型。最近石英毛細管彈性柱也廣泛用於氣相色譜-質譜聯用技術中。 在氣相色譜-質譜聯用技術中的計算機系統能對採集的信息進行數據處理,並可將測定譜與儲存於計算機內的標準譜圖庫進行對照檢索,並自動給出最終測定結果。
氣相色譜-質譜聯用技術在環境分析中用於測定大氣、降水、土壤、水體及其沉積物或污泥、工業廢水及廢氣中的農藥殘留物、多環芳烴、鹵代烷以及其他有機污染物和致癌物。此外,還用於光化學煙霧和有機污染物的遷移轉化研究。
氣相色譜-質譜聯用技術在環境有機污染物的分析中占有極為重要的地位,這是因為環境污染物試樣具有以下特點:①樣品體系非常複雜,普通色譜保留數據定性方法已不夠可靠,須有專門的定性工具,才能提供可靠的定性結果。②環境污染物在樣品中的含量極微,一般為ppm至ppb數量級,分析工具必須具有極高靈敏度。③環境樣品中的污染物組分不穩定,常受樣品的採集、儲存、轉移、分離以及分析方法等因素的影響。為提高分析的可靠性和重現性,要求分析步驟儘可能簡單、迅速,前處理過程儘可能少。氣相色譜-質譜聯用技術能滿足環境分析的這些要求。它憑藉著色譜儀的高度分離本領和質譜儀的高度靈敏(10-11克)的測定能力,成為痕量有機物分析的有力工具。美國使用質譜儀發現了大氣中的過氧乙醯硝酸酯和二氧雜環丙烷的痕跡。
電化學分析法 套用物質的化學成分與它的電化學性質之間的關係建立起來的分析方法。這種方法通常是將待測試樣構成化學電池的一個組成部分來進行測定的。
極譜分析法 是根據極譜學的原理建立起來的分析方法。這種分析法是將一面積極小的滴汞電極和一面積較大的去極化電極浸於待測溶液中,逐漸改變二極間的外加電壓,從而得到相應的電流-電壓曲線(極譜圖)。通過對電流-電壓曲線的分析和測量,即可求得試液中相應離子的濃度。
傳統的極譜分析法,靈敏度一般在10-4~10-5摩爾範圍內。近些年來提出了許多新的極譜分析方法。其中套用比較廣泛的有示波極譜法、方波極譜法、脈衝極譜法以及極譜催化法和反向溶出伏安法等。其中反向溶出伏安法在環境分析中使用較多。
反向溶出伏安法又稱為陽極溶出法。這種方法是使被測物質在適當的條件下電解富集在微電極上,然後改變電極的電勢,使富集的物質重新溶出。根據電解溶出過程所得到的極化曲線進行分析。這種方法的靈敏度很高,一般可以達到 10-7~10-10摩爾,可用來測定天然水、海水、生物樣品中的銅、鉛、鎘、銦、鉈、鉍、砷、硒、錫等元素。
電導分析法 根據溶液電導的變化進行測定的電分析方法。在水質監測中,水的電導率是評價水體質量的一個重要指標。它可以反映水中電解質污染的程度,是水質監測中的常測項目。
電導分析法也可以用來測定水中的溶解氧。由於一些非電導元素或化合物可以與溶解氧反應產生離子而改變溶液的電導性,因此可通過測量水體的電導變化來確定水中溶解氧的含量。例如金屬鉈與水中溶解氧反應產生Tl+離子和OH-離子,每增加0.035微西/厘米的電導率(西是西門子,電導單位),相應為1ppb的溶解氧。
大氣中的二氧化硫也常用電導法測定。其原理如下:二氧化硫與水反應生成亞硫酸,其中一部分離解生成氫離子和亞硫酸根離子,呈導電性:
SO2+H2O─→H2SO3
H2SO3匑2H++SO卲
因此使氣體樣品與具有一定電導的溶液以一定比例接觸,通過吸收二氧化硫後溶液電導的增加,就可以連續測定氣體樣品中二氧化硫的含量。此法測量範圍較大,但如果氣體樣品中含有溶於水並會產生電導性的其他氣體,則會影響測定結果的正確性。電位分析法 包括電位滴定法和直接電位法。電位滴定法是一種儀器分析方法,是電容量分析法。這種方法是以某種能與被測物質反應的標準溶液滴入試液中,並在滴定過程中觀察指示電極電位的變化,根據反應達到等當點時待測物質濃度的突變所引起的電位突躍,來確定滴定終點,從而進行定量分析。此法可用於環境分析中工業廢水的酸鹼滴定、氧化還原滴定、沉澱滴定和絡合滴定等。直接電位法是通過直接測量對待測試液中離子濃度產生回響的指示電極的電位,來進行定量分析的。水質監測中pH值和氧化還原電位的測定都採用直接電位法。
近年來由於離子選擇性電極的產生和發展,使直接電位法在環境監測中得到了更廣泛的套用。例如,套用氟離子選擇性電極測定大氣、天然水和工業廢水中的氟離子,具有快速、準確、方便、靈敏等優點。氰離子選擇性電極、硝酸根電極、鹵族離子和硫離子等電極也都在環境監測中得到了套用。
固態膜鉛離子和鎘離子選擇性電極可以測定 10-7摩爾鉛離子和鎘離子。在實驗室內已開始套用於水、空氣、食品、生物樣品中鉛和鎘的測定。
用於直接電位法的離子選擇性電極種類頗多,中國研製和生產的電極有20多種,其中有些已套用於環境監測和污染控制。
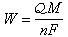
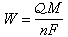
庫侖分析法 在電解分析基礎上發展起來的一種電化學分析方法。它是通過測量電解反應所消耗的電量來計算結果的。庫侖分析法的基礎是法拉第電解定律。在電流作用下進行電極反應的物質的量與通過電解池的電量成正比。每通過 1法拉第電量,在電極表面即沉積或溶出1克當量的物質。若反應物質的分子量或原子量為M,電極反應時電子轉移數為n,通過電解池的電量為Q,則被測物質的重量W 即可由法拉第定律計算出來:


