簡介
特魯瓦達Truvada,全世界最大的愛滋病藥物生產商吉利德科學公司生產的一款常規藥片,有助於防止感染HIV,研究顯
示,2004年開始作為抑制已經感染愛滋病患者病毒蔓延的藥物,Truvada能夠將HIV的風險降低44%。它的研發標誌著人類終結愛滋病已經不再是夢想。分析人士指出,該種藥片將為該公司年增收10億美元。但這項研究引發的另外一個問題是,通過醫療體系Truvada每年約需要5000到7000美元,私人購買可能需要花費更多。這些錢已經超出某些人的承受能力。
藥品組成
TRUVADA片為藍色膠囊型薄膜衣片,一側有“GILEAD”字樣,另一測有“701”字樣。
活性成分
TRUVADA片為口服製劑,每片薄膜包衣片中含200mg恩曲他濱和300mg富馬酸替諾福韋二吡呋酯(相當於245mg替諾福韋二吡呋酯)兩種活性成分。
(1)恩曲他濱
通用名:恩曲他濱
英文名:emtricitabine
化學名:5-fluoro-1-(2R,5S)-[2(hydroxymethyl)-1,3-oxathiolan-5-yl]cytosine
分子式:C8H10FN3O3S
分子量:247.24
恩曲他濱化學結構式結構式:見右圖
性 狀:白色到類白色結晶性粉末
溶解度:112mg/ml(25℃,水)
LogP值:-0.43
pKa 值:2.65。
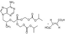
(2)替諾福韋二吡呋酯
通用名:替諾福韋二吡呋酯
英文名:Tenofovir Disoproxil Fumarate
化學名:9-[(R)-2 [[bis[[(isopropoxycarbonyl)oxy]methoxy]phosphinyl]methoxy]propyl]adenine fumarate (1:1)
分子式:C19H30N5O10P · C4H4O4
分子量:635.52
替諾福韋二吡呋酯化學結構式結構式:見右圖
性 狀:為白色到類白色結晶性粉末
溶解度:13.4mg/ml(25℃,水)
LogP值:1.25
pKa 值:3.75
備 註:除註明外,各劑量均以富馬酸替諾福韋二吡呋酯計。
輔料成分
除活性成分外,還含有輔料:交聯羧甲基纖維素鈉、一水乳糖、硬脂酸鎂、微晶纖維素、預膠化澱粉(不含麩質)。薄膜包衣採用歐巴代II藍色Y-30-10701,含FD&CBlue#2鋁色淀、羥丙甲纖維素2910、一水乳糖、二氧化鈦和三醋酸甘油酯。

