釋義
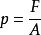
流體垂直作用於單位面積上的力,稱為流體的靜壓強,簡稱壓強,習慣上稱為壓力,常用p表示,即
流體壓力式中,F——作用力(N),A——受力面積(m )
在SI制中,壓力的單位是N/m ,稱為帕斯卡,以Pa表示。但在石油加工和石油化工生產中所用的壓力單位是多種多樣的,除了用N/m 計量外,還常用標準大氣壓(atm)、,工程大氣壓(at)、某流體柱高度如米水柱(mH0)和毫米汞柱(mmHg)等來計量。
表示方法
壓力可以用不同的基準來表示和計量,如以絕對真空(即零大氣壓)為基準計量的壓力稱為絕對壓力,是流體的真實壓力;以當地大氣壓為基準計量的壓力稱為表壓力或真空度。當被測流體的絕對壓力大於外界大氣壓力時,所用的測壓儀表叫做壓力表。壓力表上的讀數表示被測流體的絕對壓力高m當地大氣壓力的數值,稱為表壓力。表壓力與絕對壓力的關係為:
表壓力=絕對壓力一大氣壓力 或 絕對壓力=大氣壓力+表壓力
當被測流體的絕對壓力小於外界大氣壓力時,所用的測壓儀表叫做真空表。真空表上的讀數表示被測流體的絕對壓力低於當地大氣壓力的數值,稱為真空度,它與絕對壓力的關係為:
真空度=大氣壓力一絕對壓力 或 絕對壓力=大氣壓力一真空度
顯然,設備內流體的絕對壓力愈低,則其真空度就愈高。注意,大氣壓力的數值不是固定的,它是隨大氣溫度、濕度和所在地區的海拔高度而變化,其數值應從當時當地氣壓計上讀得。另外,為了區分絕對壓力、表壓力和真空度,應對表壓力和真空度加以註明。
流體靜力學
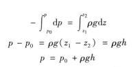
流體微元的受力平衡流體靜力學實際上是研究靜止狀態下流體內部壓力的變化規律。那么描述這一規律的數學表達式,稱為流體靜力學基本方程式。在靜止流體中取一個邊長各為dx、dy、dz的微元平行六面體,其體積為dV=dxdydz,如圖所示。設微元平行六面體中心點為O,該點的流體壓力為於靜止流體內的壓力是空間坐標的連續函式,作用在微元平行六面體各個面上的壓力如圖所示。設流體的密度為 ρ,則微元平行六面體的重量d G=ρgdxdydz。由於微元平行六面體的流體處於靜止狀態,則根據平衡條件,作用在x、y、z各個方向上的力的總和等於零。若流體是不可壓縮流體,即其密度ρ為常數,對靜止流體中的任意一點,流體靜力學基本方程式如下,表明了在重力的作用下,靜止液體內部壓力變化規律。
流體壓力流體靜力學基本方程式形式雖然簡單,但它包含了許多基本概念,如:
(1)當容器液面上方的壓力 P一定時,靜止液體內部任一點壓力的大小,與液體本身密度和該點距離液面的深度有關。越深則其壓力越大。
(2)當液面上方壓力 P變化時,必以同樣的大小傳遞到液體各點。這就是著名的巴斯卡原理。工程上的水壓機、液壓傳動裝置等都以此原理為依據。
(3)在靜止、連續的同一液體的同一水平面上,各點壓力相等,即等壓面為一水平面。在不同形狀的連通器中也是這樣,即當液面上的壓力相等時,各容器中的液面高度必相等,與容器形狀無關,這就是液面計的依據。
(4)流體靜力學基本方程式是用液體推導出來的,嚴格地講只適用於液體,而不適用於氣體。但在容器中,氣體的密度隨高度變化很小,可視為常數;同時由於氣體的密度比液體的小得多,一般容器空間也有限,因此對於容器的整個空間內,可近似認為壓力是相等的。
測定
壓力是工業生產和科研工作中經常需要檢測的重要參數之一。實際套用較多的壓力計從檢測方法原理上可以分為幾類:以流體靜力原理為基礎的 液柱式壓力計;根據彈性元件受力變形原理,利用機械結構將變形量放大的 彈性式壓力計;基於流體靜力平衡原理,與作用於已知面積上重力相比較的 負荷式活塞壓力計;利用彈性元件將被測壓力轉換成電阻量、電感量、電容量、頻率量等各種電量的 電測式壓力計。

