簡介
流體壓力計用於測量流體的壓力,它分為液式的和金屬的兩種,液式壓力計用於測量較小的壓力,金屬壓力計用於測量較大的壓力。
關於液體壓力的三個要點是:
(1)液體中的任何一點,在所有方向上作用的壓力相等;
(2)液體壓力始終垂直地作用於任何表面;
(3)在給定方向上,作用於任何形狀表面上的合力等於壓力乘垂直於給定方向上的投影面積。
液式測壓計
根據用液柱高度表示壓力的原理,可以採用液式測壓計測量氣體或液體的壓力。最簡單的液式測壓計便是測壓管。
測壓管
圖1 測壓管它是由一根直徑不大的玻璃管1固定在刻度板2上做成的(如右圖所示)。為了避免表面張力和毛細管現象引起的誤差,玻璃管的內徑要大於5毫米。測壓管上端開口通大氣,下端用橡皮管4和需要測量壓力的地方連通。連通後,液體便在測壓管內上升一定的高度h。
測壓管的優點是構造簡單、精確度高。缺點是不能測量較大的壓力。因為測量較大的壓力時需要很高的測壓管,不但使用不方便,室內空間也不允許。它的測量範圍一般是表壓小於0.3~0.4個大氣壓,即表壓小於3~4米水柱。
U形管測壓計
圖2 U形管測壓計U形玻璃管中裝入適量的水銀,在套用時,U形管的一端與大氣想通。在容器中壓力的作用下,U形管中的水銀面便產生一個高度差。
因為U形管中常常注以水銀,所以又稱水銀測壓計。管中也可以注入其它液體,比如在測量氣體壓力時。注入水、酒精、甚至油等液體。注入的液體要求不與被測液體起化學作用、不混合,本身不揮發。
U形管壓差計
U形管測壓計的兩端同時接到兩個容器(或同一容器的兩個點)上,便能測出兩個容器(或一個容器的兩點)間的壓力差值。這時測壓計成為U形管壓差計。其壓差計算公式為:
圖3 U形管壓差計
流體壓力計
流體壓力計
流體壓力計其中表示被測流體的密度,表示壓差計中液體的密度。測量較大壓力差時,也可用幾個壓差計串聯使用。
微壓計
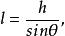
在測量微小壓力(或壓差)時,為了提高測量的精度,採用傾斜式微壓計。容器中液面與測壓計中液面的高度差為h,測量讀數為l,而h=lsinθ,即:
圖4 微壓計
流體壓力計可見即使液柱h很小,只要θ角足夠小,l讀數仍可較大,所以它可以測出微小的壓力。此外,傾斜放置的測壓管中所用的液體重量越小,讀數l就越大。因此,工程上常用重量比水小的液體,例如酒精,這樣可以提高測量精度。
金屬壓力表
當所測壓力很大時,常常採用金屬壓力表。金屬壓力表分彈簧式的和薄膜式的兩種,其中又以彈簧式壓力表最為常用。
彈簧式壓力表
圖5 彈簧式壓力表彈簧式壓力表的主要零件為一彎成鐮刀形的黃銅包管1,管的斷面為橢圓形,封閉端通過連桿4或齒輪傳動機構與指針2連線。管的下端與被測壓力容器連線。當壓力大於大氣壓的流體進入包端管後,包端管就要向外伸開,並帶動指針轉動。當包端管內外壁上流體的壓力差值和管子的彈性力平衡時,指針停止轉動。此時由指針在刻度盤3上的位置便可讀出被測點的表壓力。彈簧式壓力表能測量很大的壓力,因為它的測壓原理是利用管內外壁面上的壓力差使管子產生變形,所以只要管子的抗彈性變形能力足夠大,就能測量很大的壓力。
薄膜壓力表
圖6 薄膜壓力表薄膜壓力表的主要零件為一波狀斷面的金屬薄膜1,薄膜通過齒輪或連桿傳動機構和指針連線。薄膜上面和大氣相通。當壓力表安置在需要測量壓力的位置後,如所測壓力大於或小於大氣壓時,薄膜將向上或向下彎曲,並帶動傳動機構使指針旋轉一定角度,在刻度盤2上便可讀出被測點的表壓力。這種儀表可作為壓力、真空兩用表。

