概要
真空一詞的意思本來是指什麼也沒有的狀態,而在學術研究上,把壓力比大氣壓力低的狀態叫做真空。
按國際單位制(SI)規定,真空壓力的單位也使用kPa,Pa,mPa,μPa.在計量法中也採用Torr,它足以Torricelli命名的單位。
1 Torr=1mmHg=133.324Pa
在比較低的真空(壓力高的真空)中,使用流體壓力真空計、包端管真空計,膜片真空計.現說明一下比較高的真空(壓力低的真空)的測量。
麥克勞真空計
麥克勞真空計用予測量1-10 Pa的壓力。結構如圖3.48所示,是一種水銀壓力計,是用來校準其它真空計的標準真空計。
麥克勞真空計把水銀槽H向下降,使水銀液面比O點還低,這時A、B、C各部分由與測量對象同一壓力的氣體充滿。然後,把水銀槽H徐徐向上提起,則在液面超過0點之後,B和C部分與A分離.最後,如圖所示向毛細管C中壓縮.使R部分的液面與基準點(0刻度)一致,讀出C部液面的刻度即為測量值.
皮拉尼真空計
這種真空計是利用氣體的熱傳導率隨真空壓力變化的原理製作的。圖3.49(a)是封入了絲極(鎢、鉑等)的球形管,它和需要測量壓力的真空相連線。從絲極放出的熱量由真空的壓力和絲極的溫度所控制。壓力越低,熱傳導率越小。因而,如在絲極上流過一定的電流,使其產生一定的焦耳熱量,則壓力越低,絲極的溫度越高。
皮拉尼真空計利用電阻值的變化來檢測絲極的溫度變化。測量電路由圖(b)所示的電橋組成.為了消除環境溫度變化的影響,要用以一定壓力封入同一種氣體、並有相同電阻值絲極的兩個球形管.
在圖示測量電路中,根據已知真空度預先校準輸出電流值,然後讀取測量電流值,求出真空度.這種真空計的使用範圍是1kPa—0.1 Pa,它的回響速度低,達到平衡狀態需要數分鐘。
皮拉尼真空計克努曾真空計
在圖3.50中,裝有反射鏡M的可動板A由水晶絲S支持著,並可繞S迴轉.在可動板A前後,設定2塊可加熱的固定板B。板A的溫度T等於環境的溫度,板B經鉑線通電加熱,並操持比T高的溫度T將板A和板B問的間距做得比氣體分子的平均自由通路還小時,從被加熱的板B向板A衝擊的分子所產生的轉矩,比從板A另一側衝擊的分子所產生的轉矩大,因此使板A迴轉.如把光束射向反射鏡M,可由反射光的迴轉角來求出板A的迴轉角。
設板A每單位面積受到的分子斥力為F,板A和板B的溫度分別為T和T,則壓力P可由下式求得:
公式1若溫差很小,則:
公式2因此,若已知每個單位面積的斥力F和溫度T和T,即可求得壓力P.因迴轉力與水晶絲的彈力相平衡,故與迴轉角成正比。這種真空計可以i蜒l量10 Pa或者比它小的壓力,但因用了水晶絲怕振動,一般難於使用。
電離式真空計
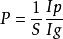
圖3.51是電離式真空計的原理圖。具有與三極電子管相似的結構.電子從受熱的陰極飛出,被帶正電位的柵極加速,衝擊氣體分子,使其電離為正離子和負離子。因為陽極加了負電位,所以聚集正離子,流過電流i.另一方面,電子和負離子聚集在柵極,流過電流i.已知氣體的壓力P與ii之比成正比即
真空壓力計式中,S稱為電離式真空計的靈敏度,是一個常數.這種真空計的使用範圍是10 -10 Pa。
電離真空計蓋斯勒管
如圖3.52所示,在玻璃管的兩端封入圓盤狀的鋁電極就構成蓋斯勒管。在兩電極上加上數千到數萬伏電壓時,由於壓力不同,放電的顏色郴形狀也不同.因此,觀察放電的顏色和形狀,就可以判斷壓力大小.因為是根據觀察判斷的,所以精度不可能達到希望值,但要達到大致的目標值是方便的。
蓋斯勒管蓋斯勒管的使用範圍10 kPa—1Pa。

