流體運動學
正文
從幾何學觀點研究流體運動所遵循的規律的流體力學分支。描述流體運動的方法 描述流體運動有兩種方法。①拉格朗日法:通過描述每一個流體質點物理量(如速度、壓力等)隨時間的變化來研究流體的運動。②歐拉法:通過描述流場(充滿流體的空間)中各個時刻每一個空間點上的物理量來研究流體的運動。歐拉法中物理量B表示為空間點位置和時間t的函式,即B=B(x、y、z、t)。如流場中所有空間點上的各個物理量均不隨時間變化,即
,這種流動稱為定常流動,否則就是不定常流動。 跡線、流線和流管 流體質點運動的軌跡稱為跡線。在給定時刻,沿流場中每一點的速度方向作一微小線段,這些線段的連線構成一簇曲線,它們中的每一條曲線都稱為流線。因此,流線上任意一點的切線方向就是該點流速方向。流線可以隨時間而變,但定常流動時流線不隨時間變化,且與跡線重合。流動中任取一條不是流線的封閉曲線,通過該曲線的所有流線構成一個管狀曲面稱為流管(見圖)。流管表面沒有流體通過,流體只能在流管中流動。流體沿管道流動時,管壁也是流管。對於不可壓縮流體,流管中體積流量保持不變。如果流管橫截面積A縮小,則平均流速v增大,反之,則平均流速減小。
流體運動學
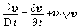
。在歐拉法中其展開式為 
稱為物理量B的當地導數或局部導數,v·墷B 稱為物理量 B的遷移導數或對流導數,
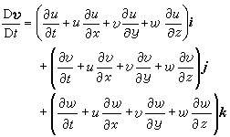
稱為質點導數運算元。根據上式,在歐拉法中,流體質點加速度(即速度的質點導數)
。在直角坐標系中,分別用v=u i+v j+w k,u、v、w和i、j、k表示x、y、z方向的速度分量和單位,則 
無鏇流動和有鏇流動 流場中渦量處處為零的流動稱為無鏇流動,否則就是有鏇流動。渦量(Ω)就是速度的鏇度,它等於流體微團剛體鏇轉角速度ω的2倍,反映流體微團鏇轉的快慢和方向。在直角坐標系中,


參考書目
G.K.Batchelor,An Introduction to Fluid Dynamics,Cambridge Univ.Press,Cambridge,1970.

