定義
波萊爾可測函式
波萊爾可測函式
波萊爾可測函式
波萊爾可測函式
波萊爾可測函式
波萊爾可測函式
波萊爾可測函式假設 ,是定義在 上的單值實函式,稱 為(m元) 波萊爾函式,如果對於任意實數 ,其中 是m維波萊爾 代數。波萊爾函式又叫做波萊爾可測函式(或 -可測函式) 。
波萊爾函式是一類相當廣泛的函式,它包括一切階梯函式、一切連續函式和分段連續函式。波萊爾函式經過有限次的加、減、乘、除運算以及函式的複合,仍然是波萊爾函式;波萊爾函式列的(上、下)極限以及上確界和下確界仍然是波萊爾函式。
相關性質定理
波萊爾可測函式1. 波萊爾函式是相當廣泛的一類函式:一切波萊爾集的示性函式都是波萊爾函式;即如果 ,則它的示性函式
波萊爾可測函式是 波萊爾函式。
波萊爾可測函式
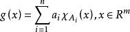
波萊爾可測函式2. 假設 而 是任意n個實數,那么
波萊爾可測函式是 波萊爾函式(稱做 波萊爾階梯函式)。
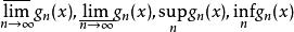
波萊爾可測函式3. 如果 是一列波萊爾函式,則
波萊爾可測函式都是波萊爾函式。
4. 一切連續函式都是波萊爾函式。
波萊爾可測函式
波萊爾可測函式
波萊爾可測函式
波萊爾可測函式
波萊爾可測函式
波萊爾可測函式5. 如果 ,是m元波萊爾函式,而 ,是一元波萊爾函式,則 ,是一元波萊爾函式。特別,如果 和 是波萊爾函式,則 都是波萊爾函式。
波萊爾可測函式
波萊爾可測函式
波萊爾可測函式
波萊爾可測函式引理1 假設 ,是波萊爾函式,而 是機率空間 上的m維隨機向量。那么, 是一隨機變數 。

