法線斜率與切線斜率乘積為-1,即若法線斜率和切線斜率分別用α、β表示,則必有α*β=-1。法線可以用一元一次方程來表示,即法線方程。與導數有直接的轉換關係。
曲線在點(x,y)的法線方程
法線方程
法線方程,
法線方程
法線方程
法線例如:求曲線在Y=2+lnx在x=1處的法線方程。
法線方程
法線方程曲線 ,
法線方程
法線方程-->
法線方程又: , 即法線與曲線的交點為(1,2)
--->法線方程: y=3-x
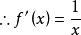
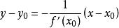
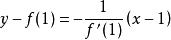
用導數表示曲線y=f(x)在點M(x0,y0)處的切線方程為: y-f(x0)=f'(x0)(x-x0) 法線方程為: y-f(x0)=(-1/f'(x0))*(x-x0)
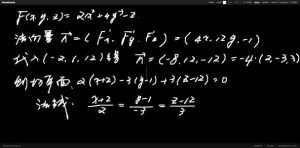
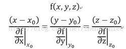
用多元函式微分求曲面法線方程得
多元函式微分法及套用
法線方程
