定義
直線方程一般有以下八種描述方式:點斜式,斜截式,兩點式,截距式,一般式,法線式,法向式,點向式。
過原點向直線做一條的垂線段,該垂線段所在直線的傾斜角為α,p是該線段的長度。則該直線方程的法線式為:xcosα+ysinα-p=0。其中p為原點到直線的距離,θ為法線與X軸正方向的夾角。
推導方法
斜截式推導
圖一
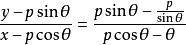
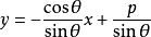
法線式設坐標平面內的任意一條直線l在y 軸上的截距為b,法線n交直線l於點N, ,x軸的正方向到法線n的正方向的角為θ,則直線l和y軸的交點B的坐標與點N的坐標分別為(0,b)與(psinθ,pcosθ)(圖一)
法線式由 得
法線式
法線式故
法線式解得
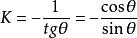
法線式又由法線n的斜率 知
法線式直線l的斜率
將這裡的K和b的值代入直線方程的斜截式得
法線式
法線式
法線式
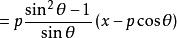
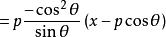
法線式若 ,方程兩端都乘以 後,將各項都移至等號左邊得
法線式
法線式若 ,仍有
兩點式推導
法線式因直線l經過點N(pcosθ,psinθ)及點B (圖一),故
法線式因此
法線式
法線式
法線式
法線式兩邊都乘以 後,展開得
法線式將兩項都移至等號左邊得:
法線式
法線式
法線式因為 ,所以直線l不與x軸平行,因而法線n不與x軸垂直,於是
法線式所以
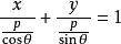
截矩式推導
法線式設直線l在x軸上的截距為a(圖一),用與求 類似的方法可求得
法線式將這裡的a和b的值代入直線方程的截距式得
法線式整理得
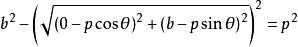
法線式勾股定理推導
設P(x,y)為直線上的任意一點( 下文中的p皆與此意義同),則圖一中:
法線式故
法線式
法線式兩邊平方並整理得

