水體質量模式
正文
天然水體水質變化規律的數學描述,簡稱水質模式,是環境數學模式的一類。河流、河口、湖泊(水庫)、地下水和海洋等天然水體雖有各自的水質模式,但是大同小異。水質模式主要用於預測、預報水體的污染趨向,研究水體污染特徵以及水體環境的自然淨化能力。水質模式有兩種基本類型。一類是簡單的一級衰變模式,用來描述在水環境中發生衰變的污染物的模式。例如生化需氧量(BOD)、氨氮、亞硝酸鹽以及硫化物等在水體中的衰變模式。另一類是衰變和恢復相結合的水質模式,用來描述在水體中由於多種因素而引起的水質變化,例如溶解氧濃度在水體中平衡過程的數學模式。不論是哪一類水質模式,都是將所研究的某一特定水體當作一個化學反應體系(或稱連續攪拌化學反應器)。在這個體系內,污染物的變化是遵守質量守恆定律的。
一級衰變水質模式的一般形式是:
Li=L0iexp(-Kix/u) (1)
式中Li為第i種污染物在污染源下游x距離處河水中的濃度(毫克/升);L0i為此種污染物剛進入水體時的初始濃度(毫克/升);u為河水的平均流速(公里/天);x為距離(公里);Ki為此種污染物在水體中的一級衰變系數(天-1)。如果在河水中存在多種可衰變的污染物,那么描述這些污染物總濃度的一級衰變模式就應是:
(2)
衰變同恢復相結合的水質模式的一般形式是:
(3)
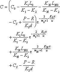
河流水質模式 目前常見的一維河流水質模式是河水中的溶解氧模式。在這種情況下,S(C,x,t)應該包括:含碳有機化合物和氨氮的耗氧過程,大氣的復氧過程,水生植物的光合作用和呼吸作用過程等。假定河流是穩定態,則
,模式的形式就應變為:
(4)
積分(4)式得:
(5)



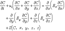
湖泊水質模式 以湖水中所發生的熱傳遞、組成傳遞、水力機制、化學和生物轉化的動力學為基礎的水質模式,用以描述湖泊和水庫營養狀況的物理、化學和生物過程,預報水質的變化趨勢。如圖2所示,可以將一個湖泊分成若干段,在每一段又可以垂直地分成高度為△z的若干層。 根據質量守恆原理,湖泊的水質數學模式可以寫成如下的基本形式:
(6)
在湖泊模式中所考慮的主要環境變數是:浮游植物、浮遊動物、氮、磷、溶解氧、生化需氧量、溫度、懸浮物、總固體以及光線等。對於上述各個環境變數可以給出一組相應的湖泊模式的子模式。
