概念
污染源是造成環境污染的污染物發生源,通常指向環境排放有害物質或對環境產生有害影響的場所、設備和裝置。
任何以不適當的濃度,數量,速度,形態和途徑進入環境系統並對環境產生污染或破壞的物質或能量,統稱為污染物。
分類
(1)按污染物的來源可分為天然污染源和人為污染源。
污染源 天然污染源是指自然界自行向環境排放有害物質或造成有害影響的場所,如正在活動的火山。
人為污染源是指人類社會活動所形成的污染源。後者是環境保護工作研究和控制的主要對象。人為污染源有多種分類方法。按排放污染的種類,可分為有機污染源、無機污染源、熱污染源、噪聲污染源、放射性污染源、病原體污染源和同時排放多種污染物的混合污染源等。
事實上,大多數污染源都屬於混合污染源。例如燃煤的火力發電廠就是一個既向大氣排放二氧化硫等無機污染物,又向環境排放廢熱和其他廢物的混合污染源。然而,在研究某一特定環境問題時,往往把某些混合污染源作為只排放某一類污染物的污染源。
(2)污染源按污染的主要對象,可分為大氣污染源、水體污染源和土壤污染源等;
(3)按排放污染物的空間分布方式,可分為點污染源(集中在一點或一個可當作一點的小範圍排放污染物)、面污染源(在一個大面積範圍排放污染物)。
(4)按人類社會活動功能分為工業污染源、農業污染源、交通運輸污染源和生活污染源。
(5)污染源分為固定污染源和流動污染源。
固定污染源指煙道、煙囪、排氣筒等排放場所。它們排放的廢氣中既包含固態的煙塵和粉塵,也包含氣態和氣溶膠態的多種有害物質。如發電廠的燃煤煙囪,鋼鐵廠、水泥廠、煉鋁廠、有色金屬冶煉廠、磷肥廠、硝酸廠、硫酸廠、石油化工廠、化學纖維廠的大工業煙囪等。流動污染源主要指交通車輛、飛機、輪船等排氣源,其排放廢氣中含有煙塵、有機和無機的氣態有害物質。
內容
天然污染源
天然污染源--火山 天然污染源指自然界自行向環境排放有害物質或造成有害影響的場所,如正在活動的火山。常見大氣污染源有:向大氣排入有害物質的源地稱污染源,進入大氣的有害物質稱污染物。
大氣污染源
大氣污染源分人工源和自然源,自然源包括火山噴發、森林著火、風吹揚塵等,它們每年向大氣排入約5.5億噸污染物,人工源包括工業污染源、農業污染源、城鄉交通和居民生活污染源等,它們平均總計向大氣排入的污染物在20世紀90年代約每年超過6.5億噸,其中以工業污染排放量最為主要。我國1990年工業源共排放大氣污染物約0.4億噸,按人口平均遠低於已開發國家的排發水平。
大氣污染物分為一次污染物和二次污染物,它們的種類超過100多種。從污染源排進大氣後,直接污染空氣的稱一次污染物,其中最主要的有二氧化硫、一氧化碳(CO)、氮氧化物(NO)、二氧化氮、顆粒物(飄塵、降塵、油煙等)、CO和氨氣、及含氧、 氮、氯、硫有機化合物以及放射性物質等。所謂二次污染物則是由於陽光照射污染物、污染物間相互發生化學反應、污染物與大氣成分發生化學反應生成的有害物質,光化煙霧就是一種二次污染物。
人為污染源
人為污染源是指人類社會活動所形成的污染源。後者是環境保護研究和控制的主要對象。
工業污染源
工業污染源農業污染源
農業污染源在農業生產過程中對環境造成有害影響的農田和各種農業設施稱為農業污染源。不合理施用化肥和農藥會破壞土壤結構和自然生態系統,特別是破壞土壤生態系統(見農藥污染)。降水所形成的徑流和滲流把土壤中的氮和磷、農藥以及牧場、養殖場、農副產品加工廠的有機廢物帶入水體,使水體水質惡化,有時造成河流、水庫、湖泊等水體的富營養化。大量氮化合物進入水體則導致飲用水中硝酸鹽含量增加,危及人體健康。氮肥分解產生的氮氧化物直接影響大氣的物質平衡。在農業高度現代化的國家,農業污染源排放的硝酸鹽、氮和無機磷已經對水體構成極大危害。有的研究報告指出,在生活污水中氮的濃度一般為18~20毫克/升,而農田徑流中,氮的濃度為1~70毫克/升,上限遠超過生活污水。農田徑流中磷的含量為0.05~1.1毫克/升。農田徑流里的氮、磷含量都大大超過藻類生長需要。一般認為水中有0.3毫克/升的無機氮和0.01毫克/升的無機磷就足以使藻類繁殖到致害的程度。
交通運輸污染源
交通運輸污染源生活污染源
人類消費活動產生廢水、廢氣和廢渣都會造成環境污染。城市和人口密集的居住區是人類消費活動集中地,是主要的生活污染源。
河水污染生活污染源污染環境的途徑有三:
①消耗能源排出廢氣造成大氣污染。如中國的一些城市裡,居民普遍使用小煤爐做飯、取暖,這些小煤爐在城市區域範圍內構成大氣的面污染源。
②排出生活污水(包括糞便)造成水體污染。生活污水中含有機物、合成洗滌劑和氯化物以及致病菌、病毒和寄生蟲卵等。生活污水進入水體,惡化水質,並傳播疾病。以有機污染物為例,一個百萬人口的城市,如果平均每人每天排放BOD5(五日生化需氧量)36克,受納該城市生活污水的水體中BOD5本底值是2毫克/升,為使受納水體中的BOD5不超過5毫克/升,而且對這個城市的生活污水不作任何處理,則每天至少需要1200萬立方米的天然水來稀釋(估算時忽略生活污水的流量)。這相當於一條流量約為140米3 /秒的河流的水量。
③排出的廚房垃圾、廢塑膠、廢紙、金屬、煤灰和碴土等城市垃圾造成環境污染。在不同國家和地區中,由於生活習慣和生活水平的差別,上述各種垃圾在城市垃圾總量中的比重也有所不同。中國大城市中普遍設有廢舊物資回收網點,城市垃圾中廢紙、金屬、塑膠製品和玻璃等所占的比例就較低;由於相當數量的居民用煤作燃料,垃圾中煤灰所占的比例就較高。中國城市垃圾數量和構成也在變化,如由於逐步改用煤氣、石油液化氣作燃料以及採用集中供熱方式,煤灰在生活垃圾中所占的比例逐漸減少。
監測
污染源檢測污染源監測的目的:
一是監督性監測,即定期檢查污染源排放廢氣中的有害物質含量是否符合國家規定的大氣污染物排放標準的要求;
二是研究性監測,對污染源排放污染物的種類、排放量、排放規律進行監測,有利於查清空氣污染的主要來源,探討空氣污染髮展的趨勢,制訂污染控制措施,改善環境空氣品質。
污染源監測的內容:
排放廢氣中有害物質的濃度(mg/m3);有害物質的排放量(kg/h);廢氣排放量(m3/h)。
評價與總量控制
污染源評價與總量控制自然污染源和人為污染源產生的環境污染物,以不適當的濃度、形態和途徑進入環境系統,並對環境系統產生污染和破壞。環境對污染物的接受是有限的,為了更好地利用環境容量這一資源,必須根據污染物的來源、特性,對污染源結構、形態進行調查和評價,並對污染物進行總量控制。
調查
污染源調查
污染源調查污染源調查的內容豐富而廣泛,按污染源分類的不同和調查目的不同,可分為工業污染源調查、農業污染源調查、生活污染源調查、交通污染源調查,也可分為大氣污染源調查、水污染源調查、噪聲污染源調查等。以下以工業污染源、農業污染源和生活污染源調查為例說明污染源調查的主要內容。
工業污染源調查
調查內容:(1)企業環境狀況
企業所在地的地理位置,地形地貌、四鄰狀況及所屬環境功能區(如商業區、工業區、居民區、文化區、風景區、農業區,林業區及養殖區等)的環境現狀。
(2)企業基本情況
①概況:企業名稱、廠址、主管機關名稱、企業性質、規模、廠區占地面積、職工構成、固定資產、投產年代、產品、產量、產值、利潤、生產水平、企業環境保護機構名稱。
②工藝調查:工藝原理、工藝流程、工藝水平、設備水平、找出生產中的污染源和污染物。
③能源、水源、原輔材料情況:能源構成、產地、成分、單耗、總耗、水源類型、供水方式、供水量,循環水量、循環利用率、水平衡,原輔、材料種類、產地、成分及含量、消耗定額、總消耗量。
④生產布局調查:原料、燃料堆放場、車間、辦公室、堆渣場等污染源的位置;標明廠區、居民區、綠化帶,繪出企業環境圖。
⑤管理調查:管理體制、編制、生產調度、管理水平及經濟指標,環境保護管理機構編制、環境管理水平等。
(3)污染物排放及治理
①污染物治理調查:工藝改革、綜合利用、管理措施、治理方法,治理工藝、投資、效果、運行費用、副產品的成本及銷路,存在問題、改進措施、今後治理規劃或構想。
②污染物排放情況調查:污染物種類、數量、成分、性質、排放方式、規律、途徑、排放濃度、排放量(日每年)、排放口位置、類型、數量、控制方法、歷史情況、事故排放情況。
(4)污染危害調查
人體健康危害調查,動植物危害調查、器物危害造成的經濟損失調查,危害生態系統情況調查。
(5)生產發展情況調查
生產發展方向、規模、指標、三同時措施、預期效果及存在問題。
生活污染源調查
生活污染源調查(1)城市居民人口調查:總人數、總戶數、流動人口、人口構成、人口分布、密度、居住環境。
(2)城市居民用水和排水調查
用水類型(城市集中供水、自備水源)、不同居住環境每人用水量、辦公樓、旅館、商店、醫院及其它單位的用水量,下水道設定情況(有無下水道、下水去向),機關、學校、商店、醫院有無化糞池及小型污水處理設施。
(3)民用燃料調查
燃料構成(煤、煤氣、液化氣),燃料來源、成分、供應方式,燃料消耗情況(年、月、日用量,每人消耗量、各區消耗量)。
(4)城市垃圾及處置方法調查
垃圾種類、成分、數量,垃圾場的分布,輸送方式、處置方式、處理站自然環境,處理效果、投資、運行費用、管理人員、管理水平。
農業污染源調查
污染源調查(1)農藥使用情況的調查 農藥品種,使用劑量、方式、時間,施用總量、年限,有效成分含量(有機氯、有機磷、汞製劑、砷製劑等),穩定性等。
(2)化肥使用情況的調查
使用化肥的品種、數量、方式、時間,每畝平均施用量。
(3)水土流失情況的調查
(4)農業廢棄物調查
農作物秸桿、牲畜糞便、農用機油渣。
(5)農業機械使用情況調查
汽車、拖拉機台數,耗油量,行駛範圍和路線,其他機械的使用情況等。
除上述污染源調查外,還有交通污染源調查,噪聲污染源調查,放射性污染源調查,電磁輻射污染源調查等。
在進行一個地區的污染源調查,或某一單項污染源調查時,都應進行自然環境背景調查,社會背景調查。根據調查的目的不同,項目不同,可以有所側重。自然背景包括地質、地貌、氣象、水文、土壤、生物;社會背景調查包括居民區、水源區、風景區、名勝古蹟、工業區、農業區、林業區。
確定方法
污染物排放量的確定有物料衡算法、經驗係數法和實測計算法等方法。
物料衡算法
污染用質量平衡法建立污染物發生模型,是物質不滅定律在污染源評價中的套用,該模型的推導來自於物質總體的質量平衡。在生產過程中,投入的物料量,等於產品所含這種物料的量與這種物料流失量的總和。如果物料的流失量全部由煙囪排放或由排水排放,則污染物排放量(或稱源強)就可以用質量平衡法求出。例如根據燃料成份及其燃燒後的生成物的化學組成,可以估計出污染物的濃度和總發生量。
經驗係數法
1.排污係數法
根據生產過程中,單位產品的經驗排污係數進行計算,求得污染物排放量的計算方法稱為排放係數或排污係數法。
計算公式為M(kg污染物/年)=K(kg污染物/噸產品)×W(噸產品/年)
各種污染物的排放係數,國內外文獻中給出很多。它們都是在特定條件下產生的,各地區,各單位由於生產技術條件的不同,污染物排放係數和實際排放係數可能有很大差別。因此,在選擇時,應根據實際情況加以修正。在有條件的地方,應調查統計出本地區的排放係數。
2.單產平均減污法
使用單產平均減污法預測污染物排放量與使用排污係數法計算排放量具有相似的模型結構:計算公式為M =mG(式中G是預計的產量;m是目標年的單產產生的排污量);
在使用單產平均減污法進行污染物排放量預測時,需要明確三個時間概念:一是預測基準年,二是預測目標年,三是預測參照年。根據問題的性質,需要求解的是目標年的單產排污係數 m,和排污總量M。假設單產排污量逐年下降的速率不變,考察已經發生的預測基準年和預測參照年的單產排污量,便可從中總結出單產排污量逐年下降的速率,因此求得目標年的單產排污係數和排污總量。
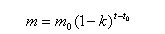
預測目標年單產產生的排污量m,可以用以下模型計算:
式中t為預測目標年或參照年,t0是預測基準年。m0是作為基準年的已知單產排污量,k是單產排污量的年削減率,是本模型中預測排污量的關鍵。通常有0<k<1。用於表示預測參照年與預測基準年之間關係時,m和m0是作為已知量,排污量的年削減率k是需要求解的值。
3.彈性係數法
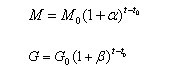
在進行城市和區域規劃時,需要解決按經濟發展計畫來預測排污量的問題。與以上的分析相類似,仍然使用預測基準年、預測目標年、預測參照年這三個時間概念,來建立相應的模型。本方法假設在預測基準年與預測參照年之間,污染物的逐年排放量和工農業生產的總產值各自以一個平均的增長速度在增長;在預測基準年與預測目標年之間,污染物的逐年排放量和工農業生產的總產值G各自也以一個平均的增長速度在增長,即:

6
式中t為預測目標年或參照年,t0是預測基準年。M0是基準年的已知排污量,M是目標年或參照年的排污量;α是排污量的年增長速率,α可以是負數,說明對應於排污量減少的情況。G0是基準年的工農業生產的總產值;G是目標年或參照年的工農業生產的總產值;β是產值的年增長速率。
令彈性係數
實測計算法雖然在預測基準年前後α和β的數值可以不同,彈性係數法認為預測基準年前後的彈性係數ξ保持不變。
實測法是污染源調查中首先應該使用的方法,它通過在正常的生產情況下,對重點污染源在有代表性的採樣點上取樣,測得廢水、廢氣、廢渣中污染物的濃度及廢水、廢氣的流量,廢渣的排放量,經計算得出污染物排放量。這種方法只適用於已投產的污染源。對已投產污染源污染物的實地測量,可掌握現實排放量,在建立數學模型時的參考值,也應通過實測進行總結和檢驗。
1. 廢水污染物排放量的計算
首先對各類廢水、各車間廢水及生活污水進行流量的測定。其點位和次數應和廢水採樣點位和次數一致。測流量的方法有流速儀法、堰板法、浮標法、容器法等。具體方法和適用範圍可查有關著作。
因檢測方法的不同,我們獲得的可能是體積流量、質量流量或流速。在進行污染物總量計算之前需要把它們都轉換為體積流量的形式。
轉換關係是:體積流量(m3/h)=質量流量(1000kg/h)/密度(1000kg/ m3);
體積流量(m3/h)= 平均流速(m/h)×過流面積(m2)
廢水中污染物的濃度,可在各採樣點取得樣品,測定不同時間的濃度值,也可以按流量的大小加權混合,取某一時段濃度加權平均值。
廢水中污染物的排放量按下式計算:M=CQ
計算中要注意濃度及流量單位的換算,保證計算量綱的一致性。
2、廢氣污染物排放量的計算
與廢水相比,廢氣污染物的排放測量要特別注意3個方面:
1)濃度的數量級比廢水小,一般使用mg/m3為單位,而廢水通常是mg/L。
2)廢氣樣品的採集和煙氣量的測量一般都在排氣筒內進行。測定的多是流速,需要特別注意對不同斷面形狀的排氣筒(圓形、矩形),按照不同斷面採樣點布設原則布點採樣監測。
3)由於煙氣在體積、壓強和溫度上的依賴關係,檢測時需要同步進行溫度、壓力的測量,計算時需要將煙氣流量和濃度折算到標準狀態下,寫作NM3/s和 mg/NM3。
3.廢渣或固體廢棄物排放量的計算
廢渣或固體廢棄物的排放量可以根據實地調查確定,測定其排放量(t/a)和其中污染物或有害物質的含量(mg/kg)。
評價
污染源污染源評價的概念和目的
污染源評價是在污染源和污染物調查的基礎上進行的。污染源評價的目的是要確定主要污染物和主要污染源,提供環境質量水平的成因;為環境影響評價提供基礎數據,為污染源治理和區域治理規劃提供依據。因此,污染源評價是環境影響評價和污染綜合防治的重要一環,一項重要的基礎工作。
污染源評價是指對污染源潛在污染能力的鑑別和比較。潛在污染能力是指污染源可能對環境產生的最大污染效應。它和污染源對環境產生的實際污染效應是不同的。污染源對環境產生的實際污染效應,不僅取決於污染源本身的特性(排放污染物的種類、性質、排放量、排放方式等),還取決於環境的性質(背景值、自淨能力、擴散條件),接受者的性質,以及各種污染物之間的作用和協生效應等。潛在污染能力取決於污染源本身的性質。因此,用潛在污染能力評價污染源是合適的。
污染源潛在污染能力主要取決於排放污染物的種類、性質、排放方式等。這些具有不同量綱的量是很難進行比較的。污染源評價的關鍵在於,把具有不同量綱的量進行標準化處理,使其具有可比性,然後進行分析比較。進行標準化處理的方法不同,產生了不同的評價方法。
根據污染源調查的結果進行污染源評價有兩類方法。一類是類別評價;一類是綜合評價。類別評價是根據各類污染源某一種污染物的排放濃度、排放總量(體積或質量),統計指標(檢出率、超標倍數、標準差)等項指標,來評價污染物和污染源的污染程度。污染源綜合評價方法不僅考慮污染物的種類、濃度、排放量、排放方式等污染源性質,還要考慮排放場所的環境功能。
各種污染物具有不同的特性和不同的環境效應,為了使不同的污染物和污染源能夠在同一個尺度上加以比較,需要採用特徵數來表示評價的結果;或者說,需要對污染物和污染源進行標準化比較。污染源評價要確定的三個特徵數是:等標污染指數、等標污染負荷、污染負荷比。在此基礎上,可進一步確定主要污染源和主要污染物。
區別
污染源及污染物污染源即環境污染物的發生源,污染物的來源。通常把向環境中排放(釋放)物理的(聲、光、熱、輻射、振動等)、化學的(有機物、無機物)、生物的 (黴菌、病菌)、有害物質(能量)的設備、裝置、場所等稱為環境污染源。
任何物質(能量),以不適當的濃度、數量、速率、形態和途徑進入環境系統,並對環境系統產生污染或破壞的物質(能量),稱為環境污染物,或稱污染物,也稱污染物因子。根據污染物的來源,特性,污染源結構、形態和調查研究目的的不同,污染源分類系統也不一樣。
相關條例
《全國污染源普查條例》《全國污染源普查條例》
為了實現《國民經濟和社會發展第十一個五年規劃綱要》確定的主要污染物排放總量減少10%的目標,國務院決定於2008年初開展第一次全國污染源普查。為了科學、有效地組織實施全國污染源普查,保障污染源普查數據的準確性和及時性,根據國務院第一次全國污染源普查領導小組第一次會議紀要的要求,國務院制定了《全國污染源普查條例》。2007年10月9日,國務院總理溫家寶簽署國務院令公布《全國污染源普查條例》(以下簡稱條例),該條例自公布之日起施行。
條例所稱污染源,是指因生產、生活和其他活動向環境排放污染物或者對環境產生不良影響的場所、設施、裝置以及其他污染髮生源。污染源普查的任務是,掌握各類污染源的數量、行業和地區分布情況,了解主要污染物的產生、排放和處理情況,建立健全重點污染源檔案、污染源信息資料庫和環境統計平台,為制定經濟社會發展和環境保護政策、規劃提供依據。
環境保護專業辭彙
| 環境保護已經成為今天比較熱門的話題,簡單的可以把環境保護工作分為污水處理,大氣污染處理和固體廢棄物處理和其他物理污染處理等幾個大的方向,其中也涉及到一些專業領域的辭彙。 |

