污染源調查
任務和要求 污染源調查的任務因目的而異。如果是為了制訂某一區域的綜合防治規劃或環境質量管理規劃,調查的任務就是全面了解區域內的污染源情況,以便確定主要污染源和主要污染物;如果是為了治理一個區域內某一類污染源,如電鍍廢水污染源,調查的任務就是弄清區域內電鍍車間的分布情況,各個車間的生產狀況、排污情況及其對環境的影響;如果是為了給日常的污染源管理提供資料,調查的任務就是查明各類污染源的情況及其對環境質量的影響等。上述各種調查可以結合進行。污染源調查的第一步是普查,查清區域內的污染源和污染物的一般情況,並將調查材料進行分類整理;第二步是根據區域內環境問題的特點(如主要是大氣污染還是水體污染)確定進一步調查的對象,進行深入調查;最後是整理調查資料,寫出調查報告和建立污染源檔案。普查的主要內容是污染源的名稱、位置、污染物名稱、排放量、排放強度、排放方式、排污去向(排向大氣、水體等)和排放規律(定時集中排放、連續均勻排放等)。進一步調查的內容因污染源而異。例如工業污染源的調查項目有:主要產品種類、產量、總產值、利潤、職工人數、原材料種類、原材料(包括燃料、原料和水等)消耗總量和定額、生產工藝過程、主要設備和裝置、排污情況、治理現狀和計畫等。生活污染源的調查項目有:人口、上下水道狀況、燃料構成和消耗量、每人每日的排污量等等。在污染源調查報告中除了綜述一般情況外,應提出治理方法的建議。污染源檔案主要是以統計表格和圖式記錄下來的各個污染源的基本情況。
搞好調查應當做到:①把污染源、環境和人群健康作為一個體系來考慮。不僅要注意污染物的排放量和特點,而且要注意污染途徑和對人體健康的影響,還要考慮環境經濟問題。②保證調查所得資料的可靠性和數據的準確性。為使所得材料具有可比性,必須按統一要求蒐集資料和數據,並統一監測、估算方法和數據處理方法。
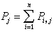
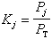
評價方法 在完成污染源調查之後,為了評價不同污染源的危害程度,確定主要污染源和主要污染物,應注意選擇合適的評價標準。為了使評價結果儘可能地反映實際情況,可以從不同角度選用幾個評價標準,作出幾組評價,再從幾組評價的綜合分析中得出評價結論。另一方面,必須有一個比較各類污染源性質的共同指標,即對污染物和污染源進行標化計算。
標化計算方法隨評價要求而異,以計算等標排污量為例:首先對i個污染源,先計算各污染物的等標排放量Pi,j。

(i=1,…,n)

(i=1,…,n)


調查和評價計算結果都應列入污染源評價報告書。

