數學定義
樣本來自總體,攜帶了總體的部分信息。進行統計分析和推斷時,要使用樣本攜帶的信息推斷總體的機率性質,但樣本帶來的信息往往是分散凌亂的,需要集中整理加工後才便於利用。初步整理可以用分組、作圖、列表等方法,但進一步深入統計提取樣本信息就要根據問題的需要構造樣本函式——統計量。
樣本矩
樣本矩
樣本矩設 為來自總體的樣本,若樣本的 元函式 是一個連續卻不含總體未知參數的函式,則稱其為統計量。
有一類常用的統計量是樣本的數字特徵,他們是模擬總體數字特徵構造的,稱為樣本矩,樣本矩有以下幾種。
樣本矩
樣本矩設 為來自總體的樣本, 是這一樣本的觀察值。
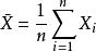
①樣本均值
樣本矩②未修正樣本方差
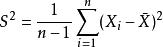
樣本矩③樣本(修正)方差
樣本矩
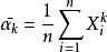
樣本矩④樣本 階原點矩
樣本矩
樣本矩⑤樣本 階中心距
樣本矩
