基本介紹
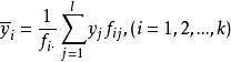
由於曲線回歸中計算相關指數需先確定回歸方程才能計算,而回歸方程的形式往往不易確定。K·皮爾生提出用相關比以代替相關指數,這樣可以不確定回歸方程而直接計算二個變數的相關程度,其方法是取對應於自變數某值的因變數均值來代替估計值。設有X,Y兩變數的n對數據整理成相關表如下:
| x | … | x | … | x | 合計 | |
| y | f | … | f | … | f | f |
| … | … | … | … | |||
| y | f | … | f | … | f | f |
| … | … | … | … | |||
| y | f | … | f | … | f | f |
| 合計 | f | f | f | n |
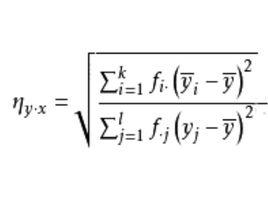
用η表示y對x的相關比, 其計算公式為
樣本相關比
樣本相關比其中 ,需要指出y對x的回歸與x對y的回歸不同,因此其相關比也不同 。
相關比的性質
相關比有下列性質:
1. 0≤η≤1;
2. 相關比的數值愈大,表示兩變數間的非直線相關愈密切;
3. 相關比必大於或至少等於由同一資料所計算的相關係數的絕對值, 即η≥|r| 。
相關比
相關比是曲線相關的指標。從變數觀測值的分布情況或散點圖上看,兩變數沒有直線關係而呈現曲線趨勢時,不能計算積矩相關係數,應當計算兩變數的相關比作為曲線相關程度的指標。例如,有機體的喚醒水平與幼兒的學習能力之間存在某種關係,即學習能力隨喚醒水平增長而逐漸提高,但當喚醒水平達到某一高度時,情況則開始發生變化,學習能力隨喚醒水平增長而逐漸下降,欲考察這兩種變數間的相關情況,就必須採用相關比。相關比的計算公式為:
樣本相關比
樣本相關比
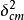
樣本相關比式中 為各列y變數與該列實際平均數之差的方差, 為全部y變數的方差。具體的計算方法是:將其中一個變數當作分類變數,另一變數的觀測值被分到不同的組(類)內,列成雙向次數分布表。然後像進行方差分析一樣,算出組間平方和與總平方和,兩者之比的平方根即為兩變數的相關比。相關比的取值範圍為0~1。數值越大,相關程度越高。但是,要解釋相關比的實際含義,就需要結合圖形說明,用圖形說明關係的形式,用係數說明關係的程度,因為同一相關比值可表現為不同方向的圖形 。

