梯田截積
對梯形的地塊進行分割截積,這類問題在我國農村稱為“梯田截積”
梯田截積歌謠
梯田截積細端詳,倍積闊差乘最良,卻用原長為法則,歸除乘數實之行;若截大頭田積步, 大闊自乘減實當;若截小頭田積步,小闊自乘並實旁;俱用開方為截闊,兩廣並來折半強,折半數來為法則, 法除截積便知長。
梯田截積公式
歌謠用公式記出,則為:
1、從小頭截:
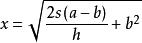
截橫=(截積×2×(大橫-小橫)÷原長+小橫^2)^(1/2)
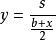
截高=截積÷[(小橫+截橫)÷2]
2、從大頭截
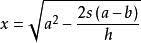
截橫=(大橫^2-截積×2×(大橫-小橫)÷中長)^(1/2)
截高=截積÷[(大橫+截橫)÷2]
用代數式表示
如果用x表示截橫,y表示截高,a表示大橫(梯形的下底),b表示小橫(梯形的上底),s表示截積,h表示原長(中長,梯形的高)。則
從小頭截
梯田截積
梯田截積從大頭截
梯田截積