定義
通用定義
設函式f(x)與g(x),…,g(x) (1≤m<n)在開集G⊂R上給定。記D為G中滿足限制條件g(x)=0,j=1,…,m的點x之集。設x∈D。若存在x的某個鄰域B(x,δ),使得當x∈B(x,δ),同時x∈D時有f(x)≤f(x)(f(x)≥f(x)),則稱x點為函式f在限制條件g(x)=0,j=1,…,m下的極大(小)值點。條件極大值點與條件極小值點統稱為條件極值點。條件極大值點與條件極小值點的函式值即為函式f(x)在限制條件g(x)下的條件極值。
數學辭海定義
泛函J在某附加條件下的極值.例如,泛函
條件極值函式y,z除滿足固定邊界條件
y(x)=y, y(x)=y, z(x)=z, z(x)=z
之外還滿足一個附加條件
條件極值或
條件極值這種問題的極值稱為條件極值.附加條件稱為約束.不含導數的約束,如G(x,y,z)=0,稱為有限約束或完整約束;含導數的約束,如G(x,y,z,y′,z′)=0,稱為微分約束或非完整約束.
求解
Lagrange
條件極值
條件極值求二元函式在約束條件=0下的可能極值點.可以先作拉格朗日函式
條件極值其中 λ為拉格朗日乘子對
條件極值
條件極值
條件極值
條件極值分別對拉格朗日函式每個變數求偏導並令其值為0,解出得到的駐點就是函式(l)在條件(2)下可能的極值點.至於所求得的點是否為極值點,需要在實際問題中根據問題本身的性質來判定.這也是解決條件極值的通用方法.
代入法
條件極值對於約束條件比較簡單的條件極值,還可以使用代入法將其化為無條件極值.即從前述條件(2)中解出或x一x伽),然後將其代入函式(1),原問題即可化為一元函式的極值問題.
柯西不等式法
條件極值
條件極值
條件極值
條件極值
條件極值
條件極值
條件極值
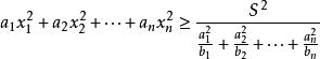
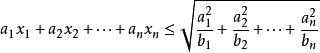
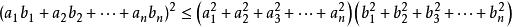
條件極值柯西不等式是由大數學家柯西《}audry研究數學分析中的“流數,’問題時得到的一個非常重要的不等式,某些函式的極值、最值可以轉化為柯西不等式的形式求解柯西不等式:對於任意的實數,,,和,,,總有
條件極值
條件極值
條件極值
條件極值
條件極值
條件極值
條件極值
條件極值
條件極值簡述為‘‘積和方不大於方和積”;a; ER, b; ER,若且唯若實數,,,和,,,對應成比例時,等號成立[l }l由此,得到兩個重要結論:
條件極值
條件極值(1)若 則
條件極值
條件極值
條件極值
條件極值(2)若則 (其中,i=1,2n)
運用柯西不等式,主要是把目標函式適當變形,進而“配.湊n可西不等式的左邊或右邊的形式,最終求得極大值或極小值。
其他方法
均值不等式法、梯度法、圖像法、三角代換法,構造二次型等。最通用的還是拉格朗日乘數法,其他一些方法通常需要對應原函式的不同形式可以更方便的求解。
條件極值例題
例1
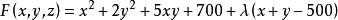
(成本最小問題)某公司的兩個工廠生產同樣的產品,但所需成本不同,第一個工廠生產x單位產品和第二個工廠生產Y單位產品時的總成本是
條件極值若公司的生產任務是500個單位產品,問如何分配任務才能使總成本為最小?
解法1
條件極值該問題是求函式在條件下的極值.作拉格朗日函式
條件極值產品時總成本最小。
解法2
條件極值
條件極值
條件極值解法2由
解出,並代入目標函式中,可得總成本對總成本函式求導,並令其一階導數等於0,可得唯一駐點x=125,.由於。在該點的二階導數小於0,知該駐點是極大值點,所以也一定是最大值點.比較c(0),c(125),c (500),可得所求最小值點x = 500.即第一個工廠生產500單位產品時總成本最小。
例2
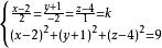
條件極值
條件極值
條件極值已知求出的最值 解:首先將
變形為
條件極值再設
條件極值,
條件極值於是,根據柯西不等式(1)及已知條件,有
條件極值即
若且唯若
條件極值時,等號成立;
條件極值
條件極值即當k=1;x=4;y=-3;z=5時;k=-1,x=0,y=1,z=3時
條件極值
條件極值所以
