基本介紹
李普希茨條件
李普希茨條件1.設 為一函式,k為一正常數,若對於點 之鄰域中的所有點x,都有
李普希茨條件
李普希茨條件
李普希茨條件則稱 在點 滿足 李普希茨條件 。
李普希茨條件
李普希茨條件
李普希茨條件
李普希茨條件2.設 為定義在 上的函式,k為一正常數, 若對於 中任意兩點 ,都有
李普希茨條件
李普希茨條件
李普希茨條件則稱 在區間 上滿足 李普希茨條件。
李普希茨條件
李普希茨條件
李普希茨條件若函式 在 上滿足李普希茨條件,則該函式在 上必為絕對連續函式。換言之,絕對連續為李普希茨條件之必要條件,而李普希茨條件為絕對連續的充分條件。
李普希茨條件
李普希茨條件
李普希茨條件若函式 在 上之任一點均有連續導數,則該函式在 上必滿足李普希茨條件。換言之,有連續導數是李普希茨條件之充分條件,而滿足李普希茨條件是有連續導數的必要條件。
李普希茨條件
李普希茨條件
李普希茨條件3.設 為一函式,k為一正常數,若對於點 鄰域中的所有點 ,都有
李普希茨條件
李普希茨條件
李普希茨條件則稱 在點 滿足 p次李普希茨條件。
李普希茨條件
李普希茨條件
李普希茨條件
李普希茨條件4.設 為定義在 上的函式,k為一正常數, 若對於 上之任意兩點 ,都有
李普希茨條件
李普希茨條件則稱該函式在 上滿足p次李普希茨條件。
顯然,1,2分別是3,4當p=1時的特例。
李普希茨(Lipschitz,1832-1903)是德國數學家,李普希茨條件是他在討論微分方程
李普希茨條件解的存在唯一性定理時所引入的 。
相關定理
李普希茨條件
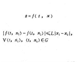
李普希茨條件定理1 如果函式 在域G中對t連續,且對變數x滿足李普希茨條件,則它必對 同時連續。 ·
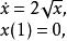
例1 初值問題
李普希茨條件
李普希茨條件
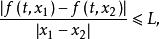
李普希茨條件試證明微分方程 的右端函式 不滿足對x的李普希茨條件。
李普希茨條件證明:如果 滿足李普希茨條件,應有不等式
李普希茨條件也即
李普希茨條件
李普希茨條件
李普希茨條件
李普希茨條件
李普希茨條件
李普希茨條件
李普希茨條件這意味著在整個定義域中,應是有限的。 然而, 由於時,,因而這是不可能的。所以不滿足李普希茨條件。也正因此, 由微分方程解的存在與唯一性定理可知,儘管右端對x連續,卻並不能保證微分方程的解的唯一性。
李普希茨條件現在,我們轉而研究初值問題的解的存在與唯一性定理。
李普希茨條件
李普希茨條件
李普希茨條件
李普希茨條件
李普希茨條件
李普希茨條件
李普希茨條件定理 2 初值問題解的存在與唯一性定理 如果在某閉域上定義的函式對連續,且對x滿足李普希茨條件,則在t軸上必有一個包含在內的區間,在其中,存在一個滿足微分方程及初始條件的唯一解。
這裡,重要的是指出以下各點:
李普希茨條件
李普希茨條件
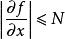
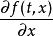
李普希茨條件(1) 如果在某閉域G中,上述微分方程的右端函式對具有有限的偏導數, 即,其中,N為某個常數,則在整個G域中李普希茨條件必可得到滿足。
李普希茨條件(2)實際上,滿足李普希茨條件的函式比上述的還要寬廣。例如,微分方程
李普希茨條件
李普希茨條件
李普希茨條件
李普希茨條件的右端函式在處不存在偏導數,然而,如果看—下模值情況
李普希茨條件
李普希茨條件顯然,如取李普希茨常數就滿足對x的李普希茨條件了。
李普希茨條件
李普希茨條件(3)儘管滿足李普希茨條件的函式相對講比較寬廣,實用上,為了方便,常把滿足初值問題的解的存在與唯一牲定理的條件取得更窄些。常見的初值問題的存在與唯一性定理表述如下。
李普希茨條件
李普希茨條件
李普希茨條件
李普希茨條件
李普希茨條件
李普希茨條件
李普希茨條件定理3 初值問題解的存在與唯一性定理的另一種表達 如果在包括初始點在內的某直角域中,函式和連續,則在中的某域裡,必有一個滿足初值問題的唯一解存在 。
李普希茨連續映射
李普希茨連續映射(Lipschitz continuousmapping)是滿足李普希茨條件的連續映射。
李普希茨條件設有映射 ,若有正常數L,使得
李普希茨條件
李普希茨條件則稱 為 李普希茨連續映射,其中正常數L稱為李普希茨常數,(1)式表達的條件稱為李普希茨條件。李普希茨連續映射必是一致連續映射 。

